Farmacología

Asociación de infección por COVID-19 autoinformada y de resultados de pruebas serológicas SARS-CoV-2 con síntomas físicos persistentes entre adultos franceses durante la pandemia de COVID-19

10 noviembre 2021

Los hallazgos de este análisis transversal de una gran cohorte francesa basada en la población sugieren que los síntomas físicos persistentes después de la infección por COVID-19 pueden estar asociados más con la creencia de haber sido infectado con SARS-CoV-2 que con tener una infección por COVID-19 confirmada por laboratorio; es posible que se necesite una evaluación médica completa para evitar atribuir erróneamente los síntomas al virus. JAMA Intern Med, 8 de noviembre de 2021.

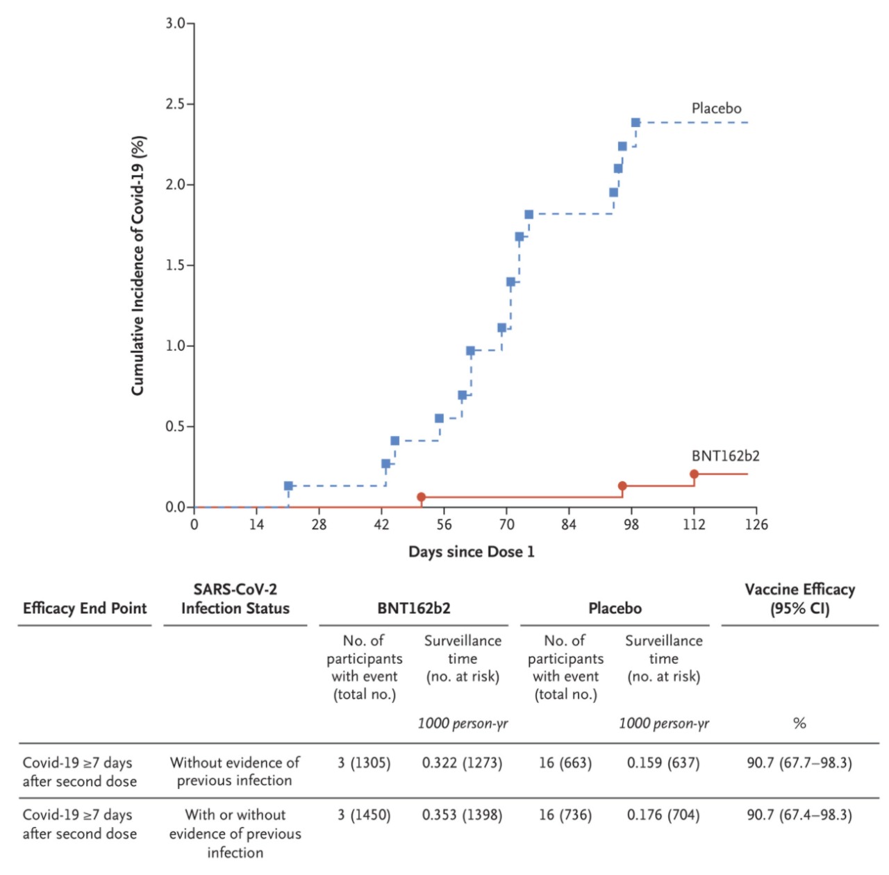
Evaluación de la vacuna Pfizer - BioNTech  (BNT162b2 Covid-19) en niños de 5 a 11 años

10 noviembre 2021

Este estudio encontró que un régimen de vacunación con Covid-19 que consiste en dos dosis de 10 μg de BNT162b2 administradas con 21 días de diferencia es seguro, inmunogénico y eficaz en niños de 5 a 11 años de edad. N Eng J Med, 9 de noviembre de 2021

Pandemia covid-19: Efectos en la esperanza de vida y mortalidad prematura en 2020 en 37 países

08 noviembre 2021

En 2020 se perdieron más de 28 millones de años de vida en 31 países, con una tasa más alta en hombres que en mujeres. El exceso de años de vida perdidos asociados con la pandemia de covid-19 en 2020 fue más de cinco veces mayor que los asociados con la epidemia de gripe (influenza) estacional en 2015.  BMJ, 3 de noviembre de 2021

Transmisión de COVID19 durante actividades relacionadas con la natación: una revisión sistemática rápida.

05 noviembre 2021

Hay importantes lagunas en la evidencia de la investigación de relevancia para las actividades relacionadas con la natación en el contexto de la pandemia de COVID-19. Sin embargo, la síntesis de las estrategias identificadas en los documentos de orientación puede informar las estrategias de gestión de la salud pública para las actividades relacionadas con la natación, particularmente en los planes de reapertura futuros. BMC Infect Dis. 29 de octubre de 2021

Sputnik Light: inmunogenicidad de una dosis de la vacuna con vector adenoviral

05 noviembre 2021

En un estudio de Fase 1/2 se estudió la inmunogenicidad y seguridad de  la vacuna Sputnik Light,  desarrollada a partir del vector de adenovirus recombinante tipo 26 (rAd26)  y  diseñada para una sola aplicación. Se encontró un buen perfil de seguridad y una fuerte respuesta inmunitaria humoral y celular tanto en participantes seronegativos como seropositivos. The Lancet Regional Europe, 2 de noviembre de 2021.

Categorias

Etiquetas