Farmacología

Anticuerpos neutralizantes contra el SARS-CoV-2 y protección clínica

16 noviembre 2021

La capacidad de neutralización in vitro sigue siendo un buen correlato del grado de protección contra las variantes del SARS-CoV-2; el modelado del descenso gradual de la inmunidad predice una pérdida de protección frente a las variantes después de la vacunación. Las dosis de refuerzo deberían permitir una mayor neutralización que la que se logra con la vacunación primaria, si bien ésta proporciona buena protección contra las infecciones graves por las variantes actuales, al menos a mediano plazo. The Lancet Microbe, 15 de noviembre de 2021.

Actualización viva en curso de opciones terapéuticas COVID19: resumen de la evidencia. Revisión rápida 11/11

15 noviembre 2021

Según el portal de búsqueda de la Plataforma Internacional de Registro de Ensayos Clínicos (ICTRP, por su sigla en inglés) de la OMS, se están investigando cientos de posibles tratamientos o sus combinaciones en más de 10.000 ensayos clínicos y estudios observacionales. Esta publicación, la 29ª edición de la base de datos de evidencia sobre posibles opciones terapéuticas para COVID-19, examina 157 opciones terapéuticas. Organización Panamericana de la Salud (OPS), 11 de noviembre de 2021

Seguridad comparativa de las vacunas de ARNm COVID-19 con las vacunas contra la influenza: un análisis de farmacovigilancia utilizando la base de datos internacional de la OMS

11 noviembre 2021

Este estudio no ha identificado problemas de seguridad significativos con respecto a la vacunación con ARNm en entornos del mundo real. El perfil de seguridad general estableció un patrón de menor riesgo de eventos adversos después de la inmunización graves después de las vacunas de ARNm en comparación con las vacunas contra la influenza. J Med Virol. 28 de octubre de 2021

Asociación de infección por COVID-19 autoinformada y de resultados de pruebas serológicas SARS-CoV-2 con síntomas físicos persistentes entre adultos franceses durante la pandemia de COVID-19

10 noviembre 2021

Los hallazgos de este análisis transversal de una gran cohorte francesa basada en la población sugieren que los síntomas físicos persistentes después de la infección por COVID-19 pueden estar asociados más con la creencia de haber sido infectado con SARS-CoV-2 que con tener una infección por COVID-19 confirmada por laboratorio; es posible que se necesite una evaluación médica completa para evitar atribuir erróneamente los síntomas al virus. JAMA Intern Med, 8 de noviembre de 2021.

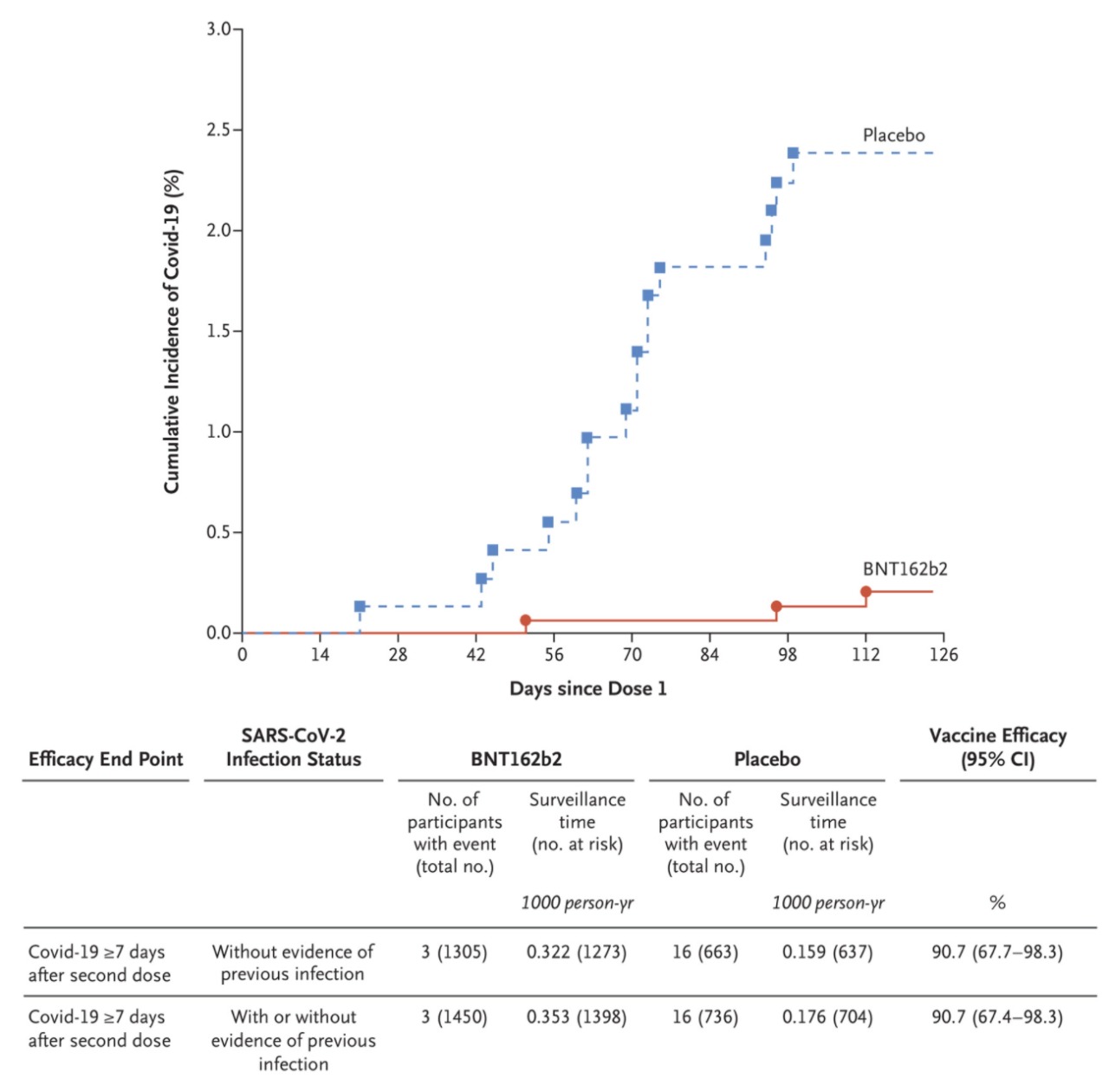
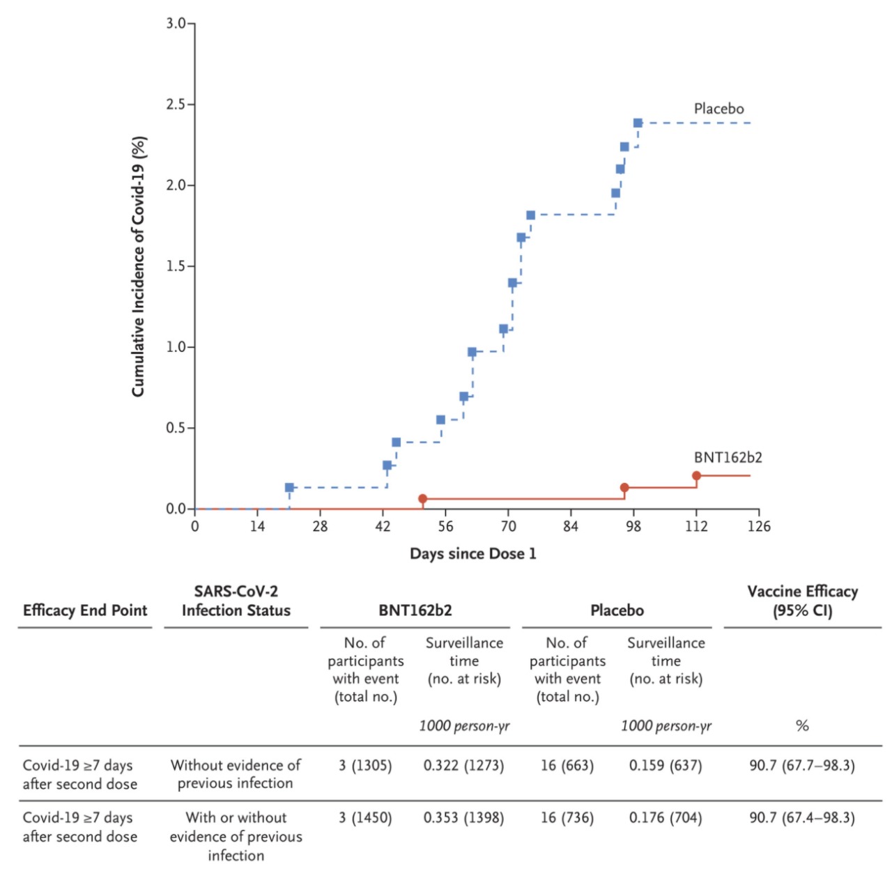
Evaluación de la vacuna Pfizer - BioNTech  (BNT162b2 Covid-19) en niños de 5 a 11 años

10 noviembre 2021

Este estudio encontró que un régimen de vacunación con Covid-19 que consiste en dos dosis de 10 μg de BNT162b2 administradas con 21 días de diferencia es seguro, inmunogénico y eficaz en niños de 5 a 11 años de edad. N Eng J Med, 9 de noviembre de 2021

Categorias

Etiquetas