Farmacología

Carga global, regional y nacional de 12 trastornos mentales en 204 países y territorios, 1990–2019

17 enero 2022

El GBD 2019 mostró que los trastornos mentales permanecieron entre las diez principales causas de carga en todo el mundo, sin evidencia de una reducción global de la carga desde 1990. Los años de vida perdidos estimados para los trastornos mentales fueron extremadamente bajos y no reflejan la mortalidad prematura en personas con trastornos mentales. Se recomienda la investigación para establecer vías causales entre los trastornos mentales y otros resultados de salud fatales para que esto pueda abordarse dentro del estudio GBD. Para reducir la carga de los trastornos mentales, es imprescindible la ejecución coordinada de programas de prevención y tratamiento eficaces por parte de los gobiernos y la comunidad mundial de la salud. Lancet Psychiatry, 10 de enero de 2022

Equidad en vacunas: no hay tiempo que perder

12 enero 2022

La pandemia no terminará hasta que las vacunas globales estén disponibles; por lo tanto, es crucial comprender cómo distribuir mejor las vacunas de manera equitativa en todos los países. Dada la distribución desigual de vacunas, los países deberían tener derecho a producir sus propios suministros de vacunas. Este principio sustenta la campaña para renunciar temporalmente a la protección de la propiedad intelectual en las vacunas COVID-19. La propuesta se conoce como la “exención de los ADPIC” para los Aspectos de los Derechos de Propiedad Intelectual Relacionados con el Comercio. La exención permitiría a las fábricas de todo el mundo colaborar libremente y suministrar vacunas contra el COVID-19, así como otros tratamientos, pruebas y herramientas médicas. Hacerlo es esencial para facilitar el acceso mundial a las vacunas y el tratamiento de la COVID-19, en particular para quienes viven en los países de ingresos más bajos. Bull World Health Organ ,1 de enero de 2022.

Estimación de la prevalencia mundial de la demencia en 2019 y prevalencia prevista en 2050

11 enero 2022

El crecimiento en el número de personas que viven con demencia subraya la necesidad de políticas y esfuerzos de planificación de la salud pública para abordar las necesidades de este grupo. Las estimaciones a nivel de país se pueden utilizar para informar los esfuerzos y decisiones de planificación nacional. Los enfoques multifacéticos, incluida la ampliación de las intervenciones para abordar los factores de riesgo modificables y la inversión en investigación sobre mecanismos biológicos, serán clave para abordar los aumentos esperados en el número de personas afectadas por la demencia. Lancet, 6 de enero de 2022

Impacto de intervenciones no farmacéuticas en el control del brote de COVID-19 sin bloqueo en Hong Kong

20 diciembre 2021

Cambiar el retraso en la confirmación tiene un impacto significativo en la transmisión de enfermedades y la estimación de la transmisibilidad. Esto lleva a una recomendación clara de que la demora debe monitorearse y reducirse durante los brotes, y que la dinámica de demora debe incorporarse en los modelos para evaluar los efectos de las intervenciones no farmacéuticas. Lancet, 17 de diciembre de 2021

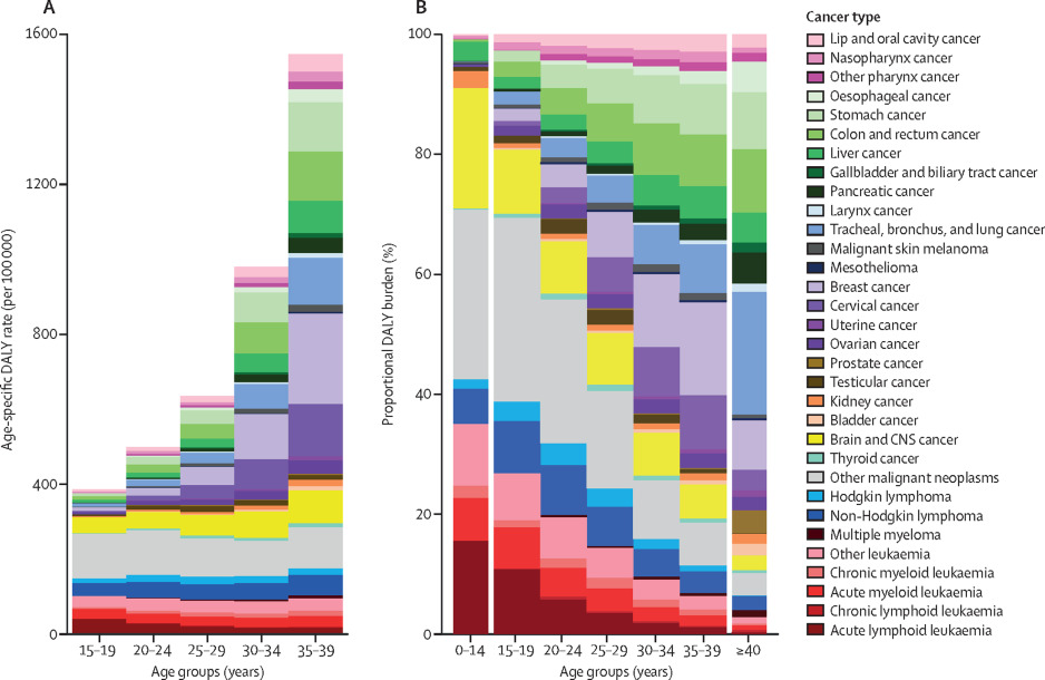
Análisis de la carga mundial del cáncer en adolescentes y adultos jóvenes en 2019

17 diciembre 2021

Los cánceres de adolescentes y adultos jóvenes contribuyeron sustancialmente a la carga global de morbilidad de los adolescentes y adultos jóvenes a nivel mundial en 2019. Estos resultados proporcionan nuevos conocimientos sobre la distribución y la magnitud de la carga de cáncer de adolescentes y adultos jóvenes en todo el mundo. Con notables diferencias observadas en los entornos de índices sociodemográficos  diferentes, estas estimaciones pueden informar los esfuerzos de control del cáncer a nivel mundial y nacional.  Lancet Oncol, 3 de diciembre de 2021.

Categorias

Etiquetas