Farmacología

Uso de corticosteroides inhalados y riesgo de contraer Pseudomonas aeruginosa en pacientes con enfermedad pulmonar obstructiva crónica

01 septiembre 2021

El uso de  corticosteroides inhalados (CI)en pacientes con EPOC seguidos en clínicas ambulatorias danesas se asoció con un riesgo sustancialmente mayor y dependiente de la dosis de contraer P. aeruginosa. Se debe tener precaución al administrar dosis altas de CI en pacientes gravemente enfermos con EPOC. Estos resultados deben confirmarse en cohortes comparables y en otros entornos. Thorax, 26 de agosto de 2021.

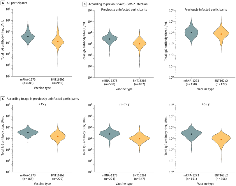
Comparación de la respuesta de anticuerpos del SARS-CoV-2 tras la vacunación con Pfizer-BioNTech y Moderna

01 septiembre 2021

Este estudio encontró una inmunogenicidad humoral significativamente mayor de la vacuna SARS-CoV-2 mRNA-1273 (Moderna) en comparación con la vacuna BNT162b2 (Pfizer-BioNTech), tanto en participantes infectados como no infectados, y en todas las categorías de edad. El mayor contenido de ARNm en ARNm-1273 en comparación con BNT162b2 y el intervalo más largo entre el cebado y el refuerzo para ARNm-1273(3) (4 semanas frente a 3 semanas para BNT162b2) podrían explicar esta diferencia.  JAMA, 30 de Agosto de 2021

Eficacia de una vacuna contra el paludismo comparada con la quimioprofilaxis en niños de 5 a 17 meses de edad

01 septiembre 2021

La administración de la vacuna RTS,S/AS01E no fue inferior a la quimioprevención para prevenir el paludismo no complicado. Más aún, la combinación de estas intervenciones resultó en una incidencia sustancialmente menor de paludismo no complicado, paludismo grave y muerte por paludismo que cualquiera de las intervenciones por sí solas. New England Journal of Medicine, 25 de agosto de 2021.

Interacciones entre plantas medicinales y medicamentos en pacientes crónicos complejos en atención primaria

31 agosto 2021

Detectamos una alta prevalencia del consumo de plantas medicinales (PM) en pacientes crónicos complejos (PCC) y de interacciones entre PM y medicamentos. La falta de conocimientos de los profesionales sanitarios es importante. Es necesario registrar en la historia clínica este consumo y mejorar el conocimiento de los profesionales de AP sobre PM para detectar posibles interacciones, disminuir el riesgo asociado y mejorar la calidad asistencial. Rev Esp Salud Pública; 30 de agosto de 2021

Riesgo de contagio de la infección por SARS-CoV-2 a partir de un contacto estrecho

31 agosto 2021

La ventana de mayor riesgo se extiende desde 2 días antes hasta 3 días después de la aparición de los síntomas del paciente índice, alcanzando su punto máximo en el día 0. En comparación con la exposición a un paciente índice asintomático, el riesgo de COVID-19 entre los contactos fue mayor si el paciente tenía síntomas leves a moderados. JAMA Internal Medicine, 23 de agosto de 2021.

Categorias

Etiquetas