Farmacología

Solución salina balanceada versus cloruro de sodio al 0,9% en pacientes críticos

17 agosto 2021

En un ensayo clínico doble ciego con más de 10.000 pacientes de unidades de cuidados intensivos de Brasil que requirieron expansión con líquidos, el uso de una solución balanceada en comparación con una solución salina al 0,9% no redujo significativamente la mortalidad a los 90 días. Los resultados no apoyan el uso de esta solución equilibrada. JAMA, 10 de agosto de 2021.

Efectividad de las vacunas Covid-19 contra la variante Delta (B.1.617.2)

17 agosto 2021

Solo se observaron diferencias modestas en la efectividad de la vacuna con la variante Delta en comparación con la variante Alfa después de recibir dos dosis de vacunas. Las diferencias absolutas en la eficacia de la vacuna fueron más marcadas después de recibir la primera dosis. Este hallazgo respaldaría los esfuerzos para maximizar la absorción de la vacuna con dos dosis entre las poblaciones vulnerables. N Engl J Med, 12 de agosto de 2021

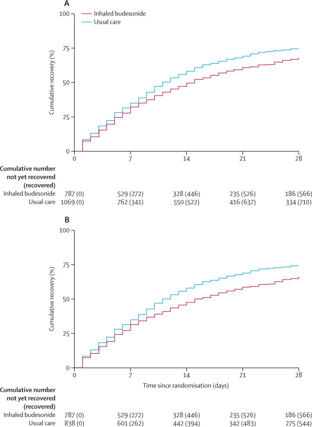
Budesonida inhalada para COVID-19 en personas con alto riesgo de complicaciones en la comunidad del Reino Unido (ensayo PRINCIPLE)

17 agosto 2021

La budesonida inhalada mejora el tiempo de recuperación, con la posibilidad de reducir también los ingresos hospitalarios o las muertes (aunque nuestros resultados no alcanzaron el umbral de superioridad), en personas con COVID-19 en la comunidad que tienen un mayor riesgo de complicaciones. La budesonida inhalada mejora el tiempo de recuperación, con la posibilidad de reducir también los ingresos hospitalarios o las muertes (aunque nuestros resultados no alcanzaron el umbral de superioridad), en personas con COVID-19 en la comunidad que tienen un mayor riesgo de complicaciones. Lancet, 10 de agosto de 2021

Adherencia a la medicación en medicina cardiovascular

13 agosto 2021

En esta revisión, describimos ensayos específicos dentro de cada una de estas categorías y destacamos el impacto de cada uno en la adherencia a la medicación. También examinamos ensayos en curso y futuras líneas de investigación para mejorar la adherencia a la medicación en pacientes con enfermedades cardiovasculares. BMJ 11 de agosto de 2021

Antes de ofrecer terceras dosis de refuerzo nacionales, se deben poner las vacunas a disposición de otros países

13 agosto 2021

Las campañas de vacunación de refuerzo a gran escala ayudan a amplificar el grado de desigualdad en el acceso a las vacunas. Al limitar el escaso suministro de vacunas que podrían enviarse a países con tasas de vacunación mucho más bajas, estas campañas también aumentan la probabilidad de que se desarrollen variantes resistentes a las vacunas, en detrimento potencial del mundo entero.  JAMA. 12 de agosto de 2021

Categorias

Etiquetas