Farmacología

Marketing farmacéutico: el ejemplo de las muestras de medicamentos

09 noviembre 2022

Aunque los médicos creen que las muestras mejoran la adherencia para los pacientes de bajos ingresos, las muestras de marca no mejoran el acceso ni la adherencia. Las muestras no son una actividad benéfica, sino una forma muy eficaz de mercadeo de medicamentos. El muestreo de medicamentos de marca aumenta los costos de los medicamentos para todos. Solo un esfuerzo cohesivo de médicos, legisladores y formuladores de políticas puede poner fin a esta práctica. La evidencia respalda la prohibición de la distribución de muestras de productos de marca. J of Pharm Policy and Pract, 7 de noviembre de 2022

Consecuencias no deseadas del acceso en línea del paciente a los registros de salud: un estudio cualitativo en la atención primaria del Reino Unido

02 noviembre 2022

Las consecuencias no deseadas descritas tanto por el personal como por los pacientes muestran que, para lograr las consecuencias previstas establecidas en la política del NHS, se necesita trabajo adicional para preparar registros para compartir y preparar a los pacientes sobre qué esperar. Es crucial que las prácticas cuenten con el apoyo y los recursos adecuados para gestionar las consecuencias no deseadas del acceso en línea, ahora que es la posición predeterminada. Se proporciona una tabla de posibles consecuencias no deseadas y medidas de mitigación para ayudar a los administradores de prácticas y médicos que implementan el acceso en línea. British Journal of General Practice 31 de octubre de 2022

El farmacólogo clínico desde los ojos del farmacólogo clínico: encuesta basada en cuestionarios

02 noviembre 2022

Todos los farmacólogos clínicos (FC) opinaron que la formación durante el curso de posgrado no fue suficiente para ser calificado como FC. No hubo consenso entre los FC sobre el beneficio de los cursos de certificación existentes en investigación clínica. Sin embargo, consideraron que los centros que ofrecen estos cursos deben estar acreditados y el plan de estudios debe ser uniforme. Los encuestados opinaron que la función de gestión de pacientes de los FC podría mejorarse colaborando con los médicos y organizando talleres y conferencias. Eur J Clin Pharmacol, 28 de octubre de 2022

La mayoría de las intervenciones sanitarias probadas en revisiones Cochrane no son efectivas según evidencia de alta calidad: revisión sistemática y metanálisis

01 noviembre 2022

Más de 9 de cada 10 intervenciones de atención médica estudiadas en revisiones Cochrane recientes (muestra de 1567 intervenciones) no están respaldadas por evidencia de alta calidad y los daños no se informan lo suficiente. J Clin Epidemiol.  Agosto de 2022

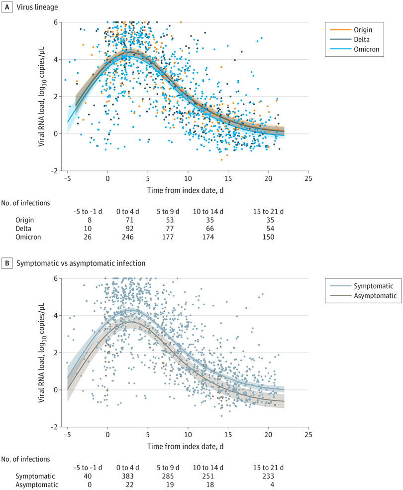
Asociación de vacunación de ARNm con características clínicas y virológicas de COVID-19 entre trabajadores esenciales y de primera línea de EE. UU.

24 octubre 2022

En una cohorte de trabajadores esenciales y de primera línea de EE. UU. con infecciones por SARS-CoV-2, la vacunación reciente con 2 o 3 dosis de vacuna de ARNm menos de 150 días antes de la infección con variantes Delta u Omicron, en comparación con no vacunarse, se asoció con atenuación síntomas, duración de la enfermedad, búsqueda de atención médica o carga viral para algunas comparaciones, aunque la precisión y la significación estadística de las estimaciones específicas variaron. JAMA. 18 de octubre de 2022

Categorias

Etiquetas