Farmacología

Seguridad, inmunogenicidad y eficacia de la vacuna Covid-19 Pfizer- BioNTech (BNT162b2) en adolescentes

28 mayo 2021

La vacuna BNT162b2 en receptores de 12 a 15 años tuvo un perfil de seguridad favorable, produjo una mayor respuesta inmune que en adultos jóvenes y fue altamente efectiva contra Covid-19. N Engl J Med. 27 de mayo de 2021

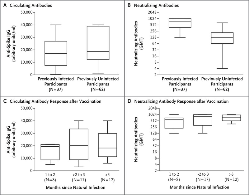
FDA desaconseja las pruebas de anticuerpos para evaluar la inmunidad después de la vacunación contra COVID-19

28 mayo 2021

Las vacunas autorizadas para la prevención de COVID-19 inducen anticuerpos contra dianas proteicas virales específicas (spike); Los resultados de la prueba de anticuerpos posteriores a la vacunación serán negativos en personas sin antecedentes de infección natural previa si la prueba utilizada no detecta el tipo de anticuerpos inducidos por la vacuna. FDA, 19 de mayo de 2021

¿Se puede tratar la neurosífilis con ceftriaxona?

27 mayo 2021

Un estudio observacional comparó el resultado del tratamiento convencional con penicilina intravenosa con el de pacientes tratados con ceftriaxona, encontrando ventajas para esta última. Este hallazgo no debe modificar todavía la práctica estándar hasta que sea puesto a prueba en un ensayo clínico aleatorizado. The Lancet Infectious Diseases, 26 de mayo de 2021.

Duración del tratamiento antibiótico en la infección de prótesis articular

27 mayo 2021

En un ensayo clínico aleatorizado se encontró que un tratamiento antibiótico acortado a seis semanas tuvo peores resultados que el convencional de 12 semanas de duración. New England Journal of Medicine, 27 de mayo de 2021.

Vacuna Sinopharm: Efecto de 2 vacunas inactivadas SARS-CoV-2  sobre la infección sintomática COVID-19 en adultos. Ensayo clínico aleatorizado. Eficacia del 78,1% en el grupo HB02

26 mayo 2021

Efecto de 2 vacunas inactivadas SARS-CoV-2  sobre la infección sintomática COVID-19 en adultos. En este análisis intermedio preespecificado de un ensayo clínico aleatorizado, el tratamiento de adultos con cualquiera de las 2 vacunas inactivadas del SARS-CoV-2 redujo significativamente el riesgo de COVID-19 sintomático (72,8% en el grupo WIV04 y del 78,1% en el grupo HB02) y los eventos adversos graves fueron poco frecuentes. La recopilación de datos para el análisis final está pendiente. JAMA, mayo 26, 2021

Categorias

Etiquetas