Farmacología

Diez razones científicas en apoyo de la transmisión aérea del SARS-CoV-2

16 abril 2021

proponemos que es un error científico utilizar la falta de evidencia directa del SARS-CoV-2 en algunas muestras de aire para poner en duda la transmisión aérea mientras se pasa por alto la calidad y solidez de la base de evidencia general. Existe evidencia sólida y consistente de que el SARS-CoV-2 se propaga por transmisión aérea. Aunque otras rutas pueden contribuir, creemos que es probable que la ruta aérea sea la dominante. La comunidad de salud pública debe actuar en consecuencia y sin más demora.  Lancet, 15 de abril de 2021

La infección por SARS-CoV-2 en trabajadores sanitarios protege contra las reinfecciones en un seguimiento de 7 meses

15 abril 2021

Un historial previo de infección por SARS-CoV-2 se asoció con un 84% menos de riesgo de infección, con un efecto protector medio observado 7 meses después de la infección primaria. Este período de tiempo es el efecto mínimo probable porque no se incluyeron las seroconversiones. Este estudio muestra que una infección previa con SARS-CoV-2 induce una inmunidad eficaz a futuras infecciones en la mayoría de las personas. Lancet, 9 de abril de 2021

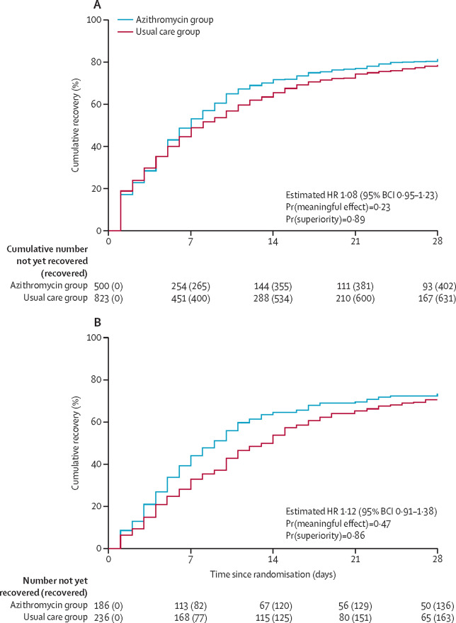
Tratamientos farmacológicos para covid-19: revisión sistemática viva y metanálisis en red. Actualización al 31 de marzo

15 abril 2021

Los corticosteroides y los inhibidores de la interleucina-6 probablemente confieren importantes beneficios en pacientes con covid-19 grave. Los inhibidores de la quinasa Janus parecen tener beneficios prometedores, pero la certeza es baja. La azitromicina, hidroxicloroquina, lopinavir-ritonavir e interferón beta no parecen tener ningún beneficio importante. Aún no se sabe si el remdesivir, la ivermectina y otros fármacos confieren algún beneficio importante para el paciente.  BMJ   31 de marzo de 2021

Nuevos regímenes de monoterapia con benznidazol y en combinación con fosravuconazol para el tratamiento de la enfermedad de Chagas (BENDITA): un ensayo aleatorizado de fase 2, doble ciego

14 abril 2021

El benznidazol indujo una respuesta antiparasitaria eficaz, independientemente de la duración del tratamiento, la dosis o la combinación con fosravuconazol, y fue bien tolerado en pacientes adultos con enfermedad de Chagas crónica. Los regímenes más cortos o reducidos de benznidazol podrían mejorar sustancialmente la tolerabilidad y la accesibilidad al tratamiento, pero se necesitan más estudios para confirmar estos resultados. Lancet Infect Dis.  6 de abril de 2021

Categorias

Etiquetas