Farmacología

Evaluación de las reacciones adversas cutáneas graves a los medicamentos

01 abril 2022

Durante el tratamiento farmacológico pueden ocurrir erupciones en la piel . Tienen una variedad de causas, incluida la hipersensibilidad a los medicamentos. En las reacciones alérgicas a medicamentos, el sistema inmunitario es activado por un fármaco. Estas reacciones alérgicas son impredecibles y no necesariamente dependientes de la dosis. Aust Prescr,  de abril de 2022

El uso de hidroclorotiazida está asociado con el riesgo de carcinoma de células escamosas de piel y labios

11 marzo 2022

Los resultados de esta revisión sistemática y metanálisis confirman la asociación entre el uso de hidroclorotiazida y el desarrollo de carcinoma epidermoide cutáneo y labial. Eur J Clin Pharmacol, 8 marzo 2022

Síndrome de Stevens-Johnson y necrólisis epidérmica tóxica: revisión del diagnóstico y el tratamiento

06 octubre 2021

En esta revisión panorámica, se buscaron publicaciones que abordaran los avances recientes en el diagnóstico y el tratamiento de la enfermedad. Debido a la naturaleza rara de la enfermedad, hay una falta de ensayos controlados aleatorios prospectivos y realizarlos en el futuro proporcionaría información valiosa sobre el manejo de esta enfermedad. Medicina (Kaunas), 28 de agosto de 2021

Corticosteroides tópicos: información sobre el riesgo de reacciones de abstinencia de esteroides tópicos

20 septiembre 2021

En raras ocasiones, se pueden producir efectos adversos graves al interrumpir el tratamiento con corticosteroides tópicos, a menudo después del uso continuo o inadecuado a largo plazo de productos de potencia moderada a alta. Para reducir los riesgos de estos eventos, prescriba el corticosteroide tópico de menor potencia necesaria y asegúrese de que los pacientes sepan cómo usarlo de manera segura y eficaz. Drug Safety Update  15 de septiembre de 2021

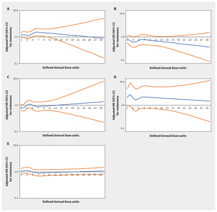
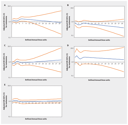
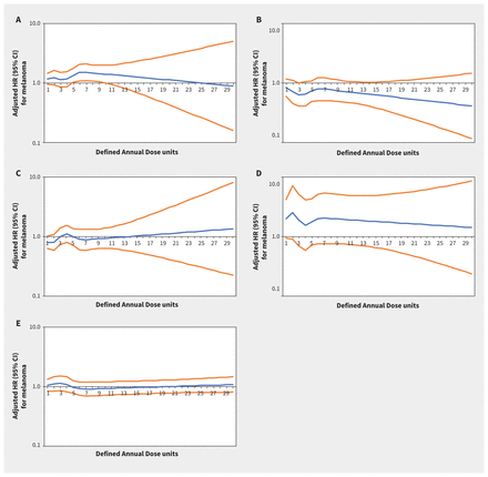
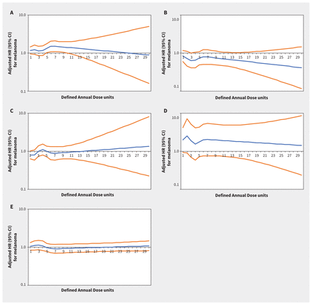
Asociación entre medicamentos antihipertensivos y riesgo de cáncer de piel en personas mayores de 65 años: un estudio poblacional

13 abril 2021

Una mayor exposición acumulada a las tiazidas se asoció con mayores tasas de incidencia de cáncer de piel en personas de 66 años o más. Puede justificarse la consideración de otros tratamientos antihipertensivos en pacientes con alto riesgo de cáncer de piel. CMAJ 12 de abril de 2021

Categorias

Etiquetas