Farmacología

Argentina: actualización del Vademécum de drogas oncológicas

18 enero 2022

Es es una herramienta que le permite a la Secretaria de Acceso a la Salud entender en la provisión de medicamentos citostáticos y el acceso a tratamientos médicos para patologías oncológicas, priorizando a la población con cobertura pública exclusiva.Ministerio de Salud  Resolución 29/2022, 12 de enero de 2022

El uso de contracepción hormonal actual o previa no se asocia con tumores del sistema nervioso en los hijos

11 enero 2022

En un estudio de cohorte poblacional danés se analizó si el uso previo de cualquier tipo de contracepción hormonal se relacionaba con el desarrollo de tumores en la niñez, sin encontrar una asociación estadísticamente significativa. JAMA, 4 de enero de 2022.

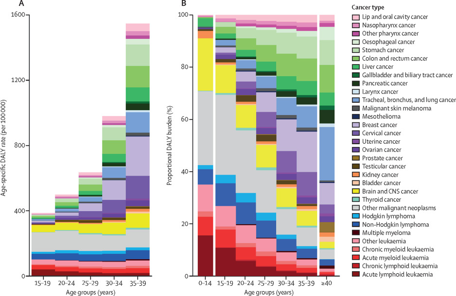
Análisis de la carga mundial del cáncer en adolescentes y adultos jóvenes en 2019

17 diciembre 2021

Los cánceres de adolescentes y adultos jóvenes contribuyeron sustancialmente a la carga global de morbilidad de los adolescentes y adultos jóvenes a nivel mundial en 2019. Estos resultados proporcionan nuevos conocimientos sobre la distribución y la magnitud de la carga de cáncer de adolescentes y adultos jóvenes en todo el mundo. Con notables diferencias observadas en los entornos de índices sociodemográficos  diferentes, estas estimaciones pueden informar los esfuerzos de control del cáncer a nivel mundial y nacional.  Lancet Oncol, 3 de diciembre de 2021.

Impacto de la pandemia de COVID-19 en el diagnóstico de nuevos cánceres

16 diciembre 2021

Durante el primer año de la pandemia se redujo el diagnóstico de nuevos cánceres en la Administración de Veteranos estadounidense, entre un 13% y 23% según la localización del tumor. También se identificaron reducciones sustanciales en los procedimientos diagnósticos como colonoscopías y biopsias de próstata. Cancer, 6 de diciembre de 2021.

Informes engañosos en ensayos clínicos aleatorizados de no inferioridad en oncología con resultados estadísticamente no significativos

16 diciembre 2021

En esta revisión sistemática, la mayoría de los ECA de no inferioridad que informaron resultados que no fueron estadísticamente significativos para los puntos finales primarios mostraron una interpretación distorsionada y un informe inexacto. La novedad de un tratamiento experimental y el financiamiento solo de fuentes sin fines de lucro se asociaron con spin. Los autores deben considerar cuidadosamente la interpretación y el informe de los resultados de los ensayos clínicos de cáncer de no inferioridad, especialmente para los resultados de los resultados primarios que no son estadísticamente significativos.JAMA Netw Open7 de diciembre de 2021

Categorias

Etiquetas