Farmacología

Avances en la prohibición de publicidad, promoción y patrocinio de productos de tabaco en la Región de las Américas: lecciones aprendidas en Uruguay y Argentina

25 octubre 2022

La prohibición parcial de la publicidad, promoción y patrocinio de los productos de tabaco en Argentina ilustra los problemas con su aplicación, así como la capacidad de la industria tabacalera de aprovechar los vacíos legales y continuar comercializando sus productos, especialmente entre los jóvenes. Una prohibición completa de la publicidad, la promoción y el patrocinio del tabaco, incluido el empaquetado estandarizado del tabaco, como en Uruguay, es más fácil de aplicar y hacer cumplir, y es efectiva para reducir la exposición a la publicidad del tabaco. Sin embargo, los gobiernos deben priorizar la aplicación de medidas para prohibir la publicidad, promoción y patrocinio de productos de tabaco en las redes sociales, que todavía son un entorno difícil de regular y fiscalizar que permite que las compañías tabacaleras sigan dirigiéndose a los jóvenes y captando su atención. Rev Panam Salud Publica. 5 de octubre de 2022

El cannabis, la cocaína, la metanfetamina y los opiáceos aumentan el riesgo de fibrilación auricular incidente

25 octubre 2022

Los consumos de metanfetamina, cocaína, opiáceos y cannabis se asociaron cada uno con un mayor riesgo de desarrollar fibrilación auricular (FA) incidente. Los esfuerzos para mitigar el uso de estas sustancias pueden representar un enfoque novedoso para la prevención de la FA. European Heart Journal, 18 octubre 2022

Clínica y biomarcadores en Alzheimer ¿cómo decidir el tratamiento?

25 octubre 2022

Los medicamentos autorizados para la enfermedad de Alzheimer (EA) fueron estudiados en pacientes con la variante amnésica de la enfermedad. A partir del desarrollo de biomarcadores para la EA surgen dos interrogantes: ¿pueden usarse estos fármacos en EA amnésica pero con biomarcadores negativos? ¿Pueden usarse con cuadros no amnésicos de EA y biomarcadores positivos? Los autores revisan los argumentos para orientar la práctica, a la espera del resultado de nuevas investigaciones. Vértex, octubre de 2022.

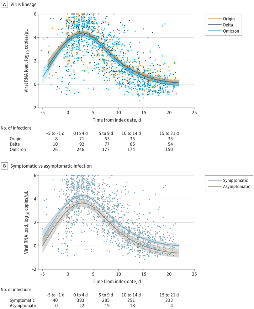
Asociación de vacunación de ARNm con características clínicas y virológicas de COVID-19 entre trabajadores esenciales y de primera línea de EE. UU.

24 octubre 2022

En una cohorte de trabajadores esenciales y de primera línea de EE. UU. con infecciones por SARS-CoV-2, la vacunación reciente con 2 o 3 dosis de vacuna de ARNm menos de 150 días antes de la infección con variantes Delta u Omicron, en comparación con no vacunarse, se asoció con atenuación síntomas, duración de la enfermedad, búsqueda de atención médica o carga viral para algunas comparaciones, aunque la precisión y la significación estadística de las estimaciones específicas variaron. JAMA. 18 de octubre de 2022

Evaluación de la vacuna mRNA-1273 en niños de 6 meses a 5 años de edad

24 octubre 2022

La respuesta inmunogénica en niños fue no inferior a la obtenida en adultos. Sin embargo, en un momento en que B.1.1.529 (omicron) era la variante viral predominante, la eficacia estimada de la vacuna contra la COVID-19 fue de solamente 36,8 % (IC95 %, 12,5 a 54,0) entre los niños de 2 a 5 años y del 50,6 % (IC95 %, 21,4 a 68,6) entre los de 6 a 23 meses. New England Journal of Medicine, 19 de octubre de 2022.

Categorias

Etiquetas