Farmacología

Pescado en la dieta y riesgo cardiovascular

04 mayo 2021

En este estudio de cohortes de personas con y sin enfermedad cardiovascular previa se encontró que dos porciones semanales de pescado se asocian con un menor riesgo de mortalidad y de eventos cardiovasculares en los pacientes con enfermedad previa, pero no en la población general. JAMA Internal Medicine, 8 de marzo de 2021.

Detección de hipertensión en adultos. Recomendación del Grupo de Trabajo de Servicios Preventivos de EE. UU.

04 mayo 2021

La USPSTF recomienda la detección de hipertensión en adultos mayores de 18 años con medición de la presión arterial en el consultorio. La USPSTF recomienda obtener mediciones de la presión arterial fuera del entorno clínico para confirmar el diagnóstico antes de comenzar el tratamiento.  JAMA, 27 de abril de 2021

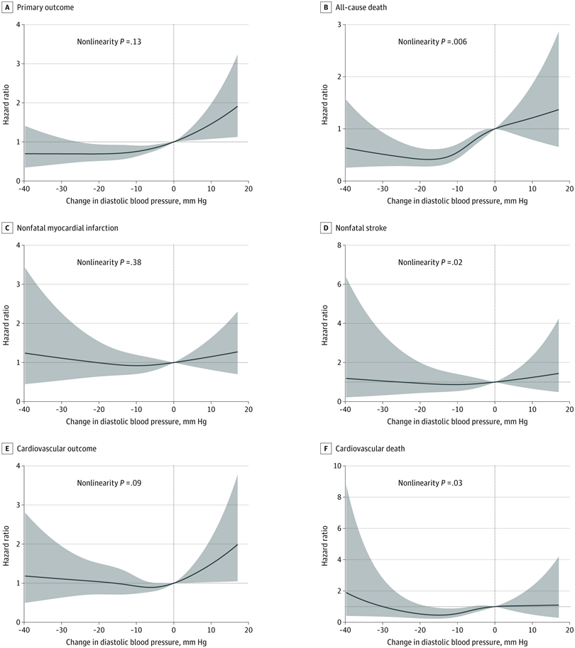
Disminución farmacológica de la presión arterial para la prevención primaria y secundaria de enfermedades cardiovasculares en diferentes niveles de presión arterial

30 abril 2021

En este análisis a gran escala de ensayos aleatorizados, una reducción de 5 mm Hg de la presión arterial sistólica redujo el riesgo de eventos cardiovasculares importantes en aproximadamente un 10%, independientemente de los diagnósticos previos de enfermedad cardiovascular, e incluso a valores de presión arterial normales o normales altos.Estos hallazgos sugieren que un grado fijo de disminución farmacológica de la presión arterial es igualmente eficaz para la prevención primaria y secundaria de enfermedades cardiovasculares importantes, incluso a niveles de presión arterial que actualmente no se consideran para el tratamiento. Los médicos que comuniquen a sus pacientes la indicación del tratamiento para bajar la presión arterial deben enfatizar su importancia en la reducción del riesgo cardiovascular en lugar de centrarse en la reducción de la presión arterial en sí. Lancet,  1 de mayo de 2021

Dificultades para distinguir entre infartos de miocardio tipo 1 y tipo 2

29 abril 2021

El tratamiento del infarto de miocardio tipo 1 (T1MI), debido a la ruptura de una placa ateromatosa, difiere sustancialmente del de tipo 2 (T2MI), que se debe a un desajuste entre la oferta y la demanda. Pero el la discriminación no invasiva no resulta sencilla. JAMA Cardiology, 21 de abril de 2021.

Medicamentos o ablación con catéter como tratamiento de primera línea de la fibrilación auricular

29 abril 2021

En este metaanálisis de seis ensayos clínicos la ablación con catéter en comparación con los fármacos antiarrítmicos se asoció con reducciones en la recurrencia de arritmias auriculares y hospitalizaciones, sin diferencias en eventos adversos mayores. JAMA Cardiology, 28 de abril de 2021.

Categorias

Etiquetas