Farmacología

Fármacos anticolinérgicos y demencia: es hora de transparencia ante la incertidumbre

14 septiembre 2021

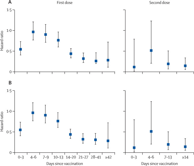
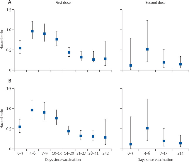
La toma de decisiones compartida, una característica clave de la atención médica de alta calidad, requiere la explicación de los riesgos y beneficios potenciales de las opciones de tratamiento. Muchas personas ven la demencia como el peor de los casos. No se debe ignorar su posible asociación con la carga anticolinérgica (CAC) hasta que se demuestre definitivamente la causalidad. Un enfoque de seguridad primero, como el que se observa con la ingesta de alcohol y el embarazo, puede ser apropiado. Nuestros pacientes esperan transparencia. Editorial, Cochrane Database of Systematic Reviews, 8 septiembre 2021

Repensar la adherencia a los medicamentos

10 septiembre 2021

Los profesionales de la salud pueden encontrar un desafío cuando los pacientes no siguen los consejos bien intencionados. Lo que antes se llamaba "incumplimiento" ahora se conoce como "no adherencia". Esto reconoce el derecho individual a tomar sus propias decisiones de salud, así como los factores externos, como el precio, que determinan el acceso a los medicamentos. La no adherencia ofrece a los médicos la oportunidad de aprender sobre los objetivos del paciente y qué hace que el tratamiento valga la pena para un individuo.Therapeutics letter[132], 8 de septiembre de 2021

Muertes relacionadas con medicamentos en un hospital terciario: casos notificados espontáneamente vs. casos en estudio retrospectivo

09 septiembre 2021

Las muertes relacionadas con los medicamentos (MRM) más frecuentes fueron las hemorragias (41,1%), seguidas de las infecciones (17,8%). Los fármacos más frecuentemente implicados fueron los anticoagulantes y / o antitrombóticos (30%) y los antineoplásicos (26,3%).  La combinación de varios métodos es esencial para detectar, evaluar, comprender y diseñar estrategias para prevenir las reacciones adversas a medicamentos en un entorno hospitalario, a fin de garantizar la seguridad del paciente. J. Clin. Med.,  8 de septiembre de 2021

Directrices para la profilaxis y el manejo de pacientes con COVID-19 leve y moderada en América Latina y el Caribe. Versión abreviada, agosto del 2021

27 agosto 2021

Las recomendaciones se dirigen a todo el personal de salud que atiende a los pacientes en el servicio de urgencias y en atención primaria (médicos generales, especialistas en medicina de urgencias, en neumología, en medicina interna, en medicina familiar y en infectología, así como terapeutas respiratorios y físicos, personal de enfermería y químicos farmacéuticos, entre otros). Organización Panamericana de la Salud, 26 de agosto de 2021

Impacto psicofísico de la pandemia COVID-19 en trabajadores de la salud en Argentina

26 agosto 2021

En una encuesta con más de 1200 participantes se detecto ansiedad en el 40,5%, depresión mayor en el 22,1%, depresión menor en el 10,9% y “burnout” en el 38,7%. El 9,4% aumentó el consumo de tabaco y el 22% el de alcohol; el 62,1% empeoró su calidad de sueño, el 50,2% redujo la realización de ejercicio físico, y el 18,4% deterioró su relación afectiva. El 40,4% sufrió discriminación por ser personal de salud. Revista Argentina de Cardiología, Nº 3 de 2021.

Categorias

Etiquetas