Farmacología

nueva edición de la Lista Modelo de Medicamentos Esenciales de OMS

01 octubre 2021

Las nuevas ediciones de su Lista Modelo de Medicamentos Esenciales y de su Lista Modelo de Medicamentos Pediátricos Esenciales, incluyen nuevos tratamientos para varios tipos de cáncer, análogos de la insulina y nuevos medicamentos orales para la diabetes, nuevos medicamentos para ayudar a las personas que quieren dejar de fumar, y nuevos antimicrobianos para tratar infecciones bacterianas y fúngicas graves. Los precios elevados y la baja disponibilidad siguen siendo un obstáculo importante para el acceso de los pacientes a los medicamentos nuevos y antiguos. OMS,   1 de octubre de 2021

Vacunación de ARNm de dosis baja

01 octubre 2021

Una dosis baja de la vacuna mRNA-1273 contra COVID-19 provoca una respuesta inmune comparable a la de la infección natural en adultos. Science, 30 de septiembre 2021

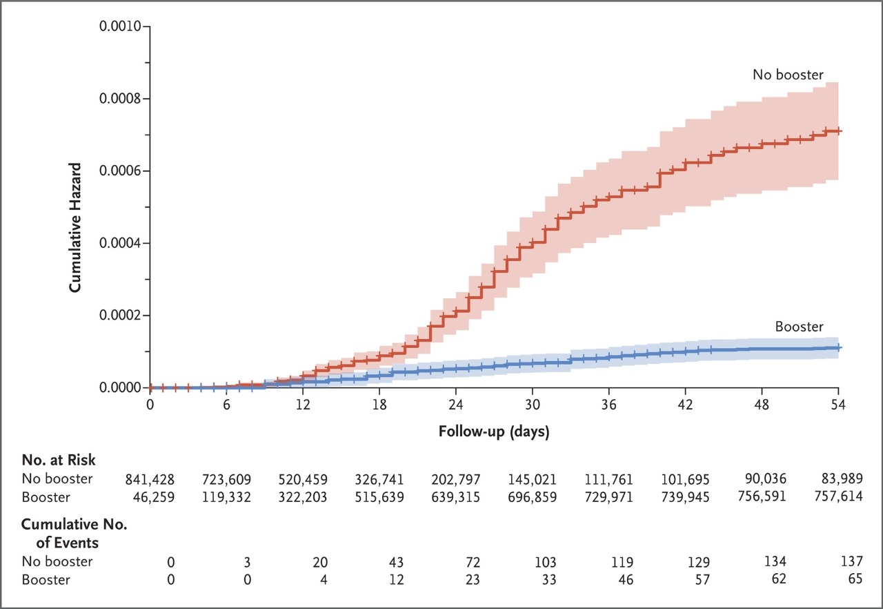
Ingresos hospitalarios COVID-19 y muertes tras las vacunas Pfizer-BioNTech u Oxford-AstraZeneca en Escocia

01 octubre 2021

Las hospitalizaciones y muertes por COVID-19 fueron poco frecuentes 14 días o más después de la primera dosis de vacuna en este análisis nacional en el contexto de alta incidencia de infección por SARS-CoV-2 y con extensas medidas de distanciamiento social implementadas. Las características sociodemográficas y clínicas que se sabe que aumentan el riesgo de enfermedad grave en poblaciones no vacunadas también se asociaron con resultados graves en las personas que recibieron su primera dosis de vacuna y podrían ayudar a informar la gestión de casos y la formulación de políticas de vacunas en el futuro. Lancet Respir Med., 29 de septiembre de 2021

Magnitud de la respuesta al placebo en todas las modalidades de tratamiento utilizadas para la depresión resistente al tratamiento en adultos

01 octubre 2021

En esta revisión sistemática y metaanálisis de 3228 pacientes con depresión resistente al tratamiento en 50 ensayos clínicos aleatorizados, el tamaño del efecto placebo fue grande y consistente en todas las modalidades de tratamiento. Las tasas de respuesta y remisión asociadas con el efecto placebo fueron comparables entre las modalidades. JAMA Netw Open, 24 de septiembre de 2021

Nacionalismo de vacunas y dinámica y control del SARS-CoV-2

01 octubre 2021

Para examinar los posibles impactos epidemiológicos y evolutivos del “nacionalismo de las vacunas”, ampliamos los modelos anteriores para incluir escenarios simples de almacenamiento entre dos regiones. Cuando la disminución de la inmunidad natural contribuye más al potencial evolutivo, la transmisión sostenida en regiones de bajo acceso da como resultado un mayor potencial de evolución antigénica, lo que puede resultar en la aparición de nuevas variantes que afectan las características epidemiológicas a nivel mundial. En general, nuestros resultados destacan la importancia de una distribución de vacunas rápida y equitativa para el control global de la pandemia. Science, 24 septiembre 2021

Categorias

Etiquetas