Farmacología

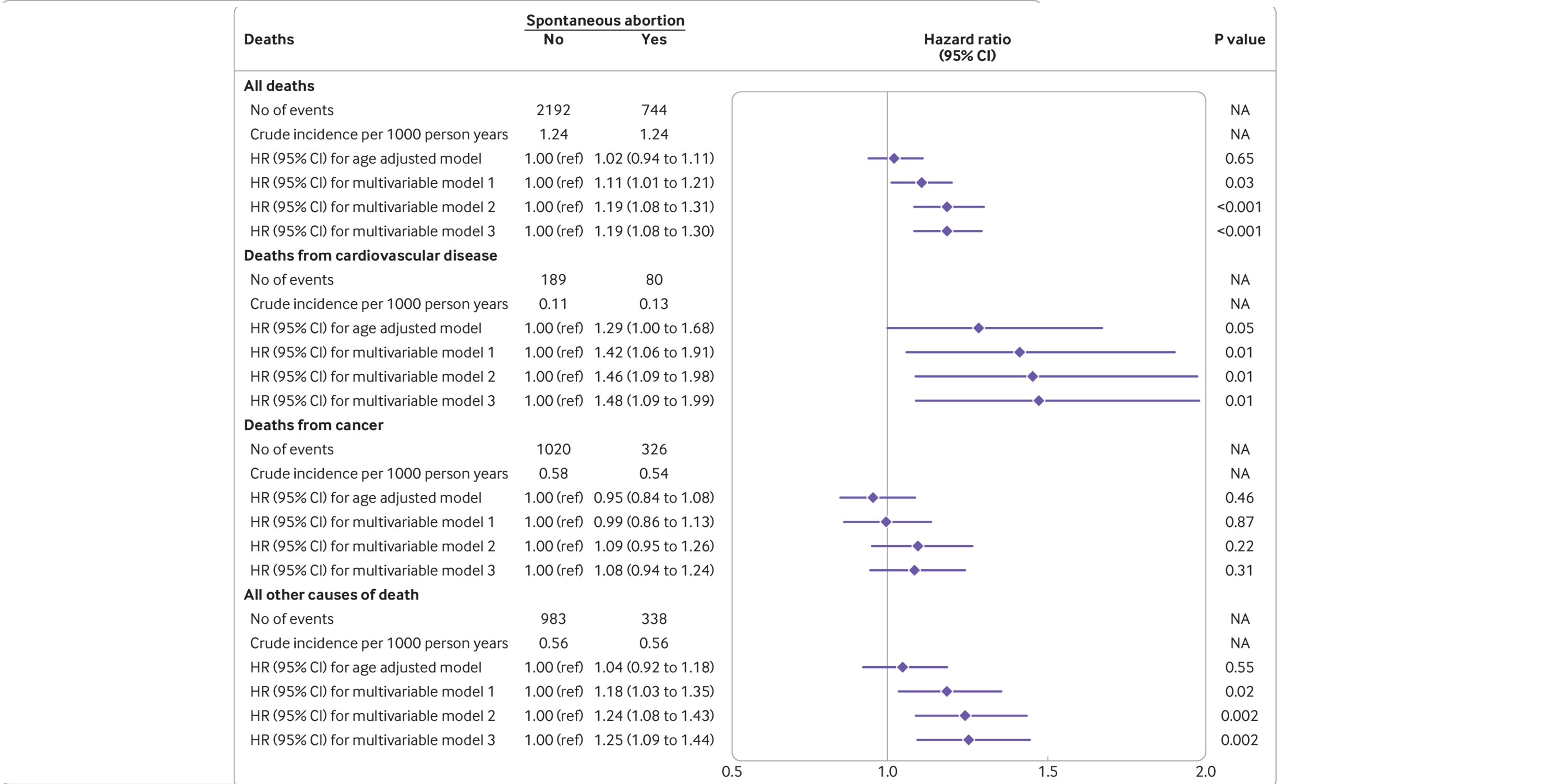
Abortos espontáneos y mortalidad prematura

25 marzo 2021

Si bien los valores absolutos del aumento de riesgo fueron pequeños, la ocurrencia de abortos espontáneos se asoció con una mayor probabilidad de mortalidad prematura, particularmente por enfermedad cardiovascular. British Medical Journal, 24 de marzo de 2021.

Vacunación e intervenciones no farmacéuticas para COVID-19: estudio de modelado

25 marzo 2021

Para todos los escenarios de vacunación investigados, estas predicciones destacan los riesgos asociados con la relajación temprana o rápida de las intervenciones no farmacéuticas. Aunque las vacunas novedosas contra el SARS-CoV-2 ofrecen una posible estrategia de salida para la pandemia, el éxito depende en gran medida de las propiedades precisas de la vacuna y de la aceptación de la población, las cuales deben ser monitoreadas cuidadosamente. Lancet Infect Dis. 18 de marzo de 2021

Un vacuna contra el VIH no demostró eficacia para prevenir la enfermedad

25 marzo 2021

A pesar de la evidencia previa de inmunogenicidad humoral y celular, el régimen ALVAC-gp120 no previno la infección por VIH-1 entre más de 5.000 participantes de Sudáfrica. New England Journal of Medicine, 25 de marzo de 2021.

Efectos metabólicos desfavorables del tenofovir alafenamida

23 marzo 2021

En pacientes con VIH bajo tratamiento con tenofovir disoproxil fumarato, el pase a tenofovir alafenamida se asoció con un mayor aumento de peso, desarrollo de obesidad y cambios desfavorables en el perfil lipídico. Annals of Internal Medicine, 16 de marzo de 2021.

¿Cuál es la eficacia del placebo en el síndrome de intestino irritable?

23 marzo 2021

Más de una cuarta parte de los pacientes asignados a placebo en los ensayos clínicos  del síndrome del intestino irritable tuvieron una respuesta favorable. Se sugiere incluir en estudios futuros  un período de preinclusión de al menos 2 semanas y dosificar una o dos veces al día para minimizar la tasa de respuesta al placebo. The Lancet Gastroenterology & Hepatology, 22 de marzo de 2021.

Categorias

Etiquetas