Farmacología

Efectividad de la vacuna mRNA Covid-19 entre el personal sanitario de EE. UU.

23 septiembre 2021

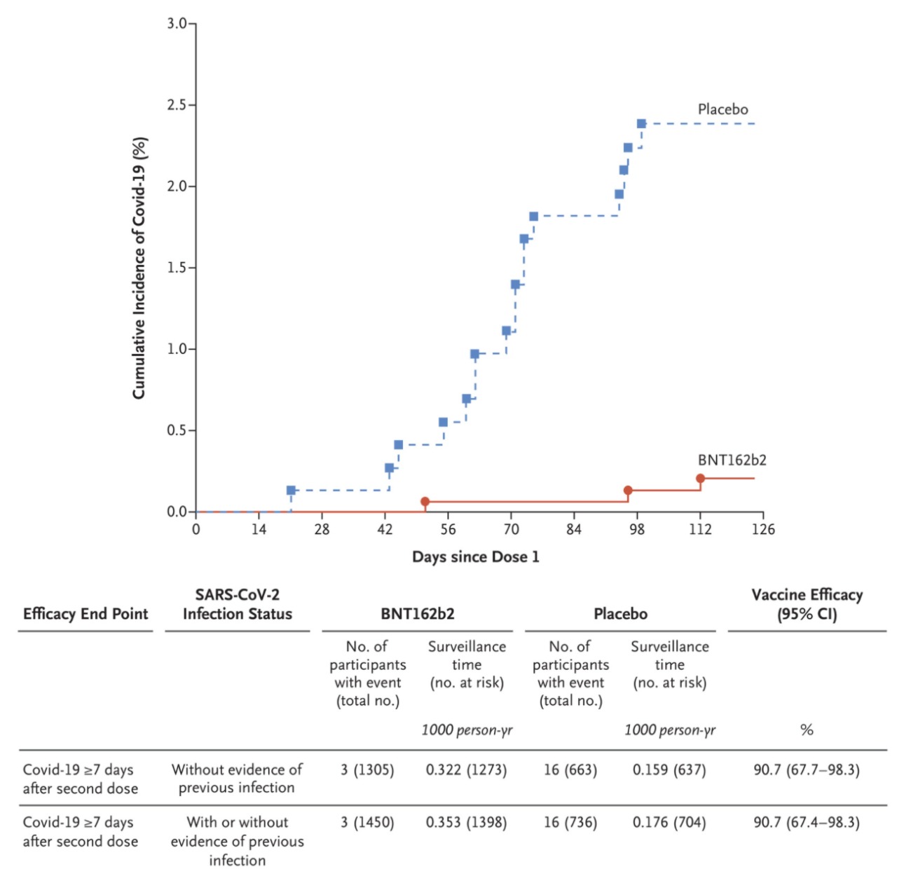
Las vacunas BNT162b2 y mRNA-1273 fueron altamente efectivas en las condiciones del mundo real para prevenir el Covid-19 sintomático en el personal de atención médica, incluidos aquellos en riesgo de Covid-19 grave y aquellos en grupos raciales y étnicos que se han visto afectados de manera desproporcionada por la pandemia. . (Financiado por los Centros para el Control y la Prevención de Enfermedades-CDC-). N Eng J Med, 22 de septiembre de 2021

Información regional y global consolidada sobre eventos supuestamente atribuibles a la vacunación o inmunización (ESAVI) contra la COVID-19 y otras actualizaciones. Vigésimo Cuarto informe

22 septiembre 2021

Compartimos el documento «Información regional y global consolidada sobre eventos supuestamente atribuibles a la vacunación o inmunización (ESAVI) contra la COVID-19 y otras actualizaciones». Organización Panamericana de la Salud, 16 de septiembre de 2021

Seguridad e inmunogenicidad de una vacuna COVID-19 inactivada, BBIBP-CorV (Sinopharm), en personas menores de 18 años: un ensayo de fase 1/2 aleatorizado, doble ciego y controlado

20 septiembre 2021

La vacuna COVID-19 inactivada BBIBP-CorV es segura y bien tolerada en todos los niveles de dosis probados en participantes de 3 a 17 años. BBIBP-CorV también provocó fuertes respuestas humorales contra la infección por SARS-CoV-2 después de dos dosis. Nuestros hallazgos respaldan el uso de una dosis de 4 μg y un régimen de dos inyecciones de BBIBP-CorV en ensayos de fase 3 en la población menor de 18 años para determinar aún más su seguridad y eficacia de protección contra COVID-19. Lancet Infect Dis, 15 de septiembre de 2021

Coadministración de vacunas contra COVID-19 con otras vacunas– septiembre 2021

17 septiembre 2021

el Ministerio de Salud define la posibilidad de coadministrar las vacunas contra COVID-19 junto con cualquier otra vacuna del CNV, pudiéndose administrar el mismo día o en días diferentes, sin requerir intervalo entre las dosis.Ministerio de Salud de la Nación, 14 de septiembre de 2021

Pruebas diarias a contactos de personas con infección por SARS-CoV-2 y transmisión del SARS-CoV-2 y asistencia en escuelas secundarias y universidades inglesas

17 septiembre 2021

La prueba de contacto diario de los contactos en la escuela no fue inferior al autoaislamiento para el control de la transmisión de COVID-19, con tasas similares de infecciones sintomáticas entre los estudiantes y el personal con ambos enfoques. Las tasas de infección en los contactos escolares fueron bajas, y muy pocos contactos escolares dieron positivo. Se debe considerar la implementación de pruebas de contacto diarias como una alternativa segura al aislamiento en el hogar después de exposiciones en la escuela. Lancet, 14 de septiembre de 2021

Categorias

Etiquetas