Farmacología

La carga mundial de cáncer atribuible a factores de riesgo, 2010-19: Estudio de la carga mundial de morbilidad 2019

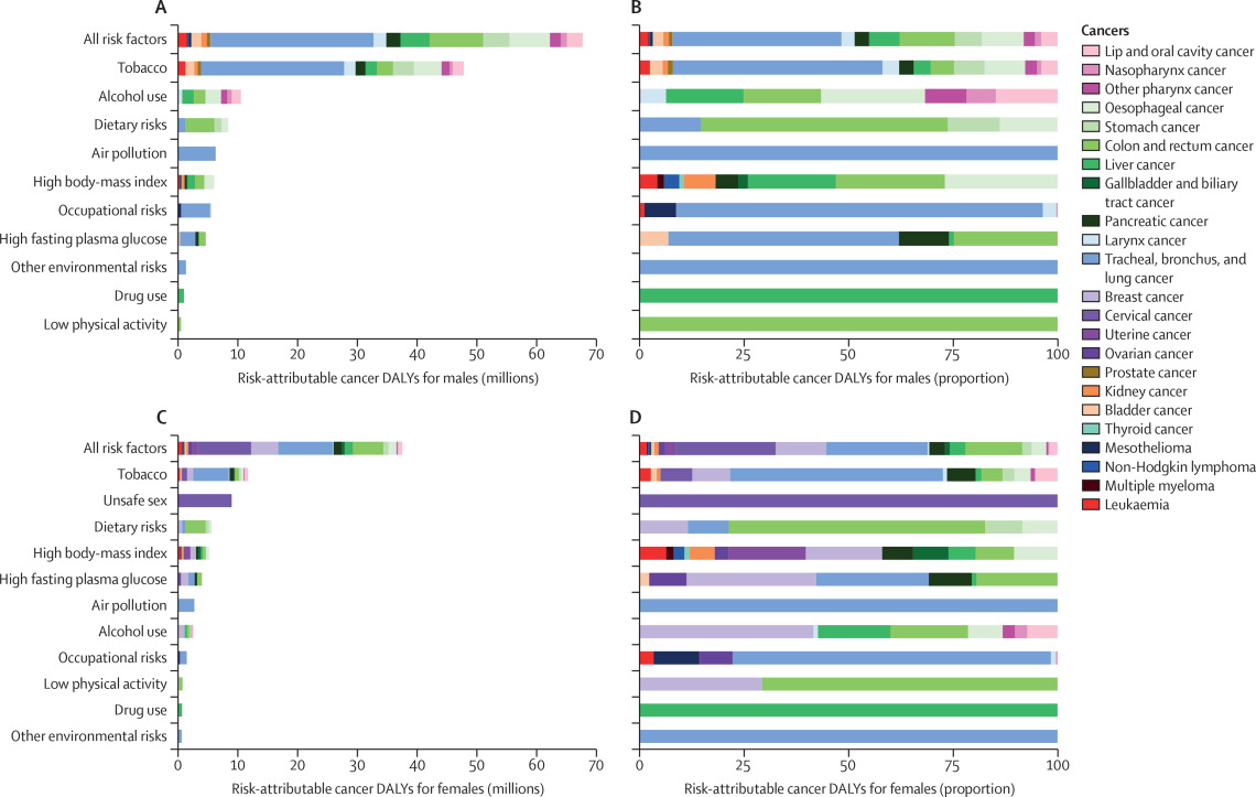
19 agosto 2022

Este análisis sistemático para el Estudio de la carga mundial de morbilidad 2019, encontró que los principales factores de riesgo que contribuyeron a la carga global de cáncer en 2019 fueron conductuales, mientras que los factores de riesgo metabólicos experimentaron los mayores aumentos entre 2010 y 2019. Reducir la exposición a estos factores de riesgo modificables disminuiría la mortalidad por cáncer y las tasas de años de vida ajustados por discapacidad en todo el mundo, y las políticas deben adaptarse adecuadamente a carga local de factores de riesgo de cáncer. Lancet, 20 de agosto de 2022

Asociación de prescripción de antipsicóticos maternos durante el embarazo con puntuaciones de pruebas estandarizadas de escolares en Dinamarca

19 agosto 2022

En este estudio de cohortes basado en registros, la prescripción materna de antipsicóticos durante el embarazo no pareció estar asociada con las puntuaciones de las pruebas estandarizadas en la descendencia. Los hallazgos proporcionan más datos tranquilizadores sobre los resultados del desarrollo neurológico de los hijos asociados con el tratamiento antipsicótico durante el embarazo.JAMA Intern Med. 15 de agosto de 2022

Características clínicas, hospitalización y muertes asociadas con la viruela símica: revisión sistemática y metanálisis

18 agosto 2022

La viruela símica se está extendiendo rápidamente, con un tercio de los pacientes hospitalizados, pero menos del 5% con desenlaces fatales. A medida que este virus zoonótico se propaga a nivel mundial, los países deben preparar urgentemente los recursos humanos, la infraestructura y las instalaciones para tratar a los pacientes de acuerdo con las pautas emergentes y la información clínica más confiable. Ann Clin Microbiol Antimicrob, 10 de agosto de 2022

Antagonistas de los receptores de mineralocorticoides no esteroideos en la enfermedad cardiorrenal

18 agosto 2022

Los antagonistas de los receptores de mineralocorticoides no esteroideos están actualmente bajo evaluación en la insuficiencia cardíaca y para el tratamiento sinérgico con inhibidores del transportador de sodio-glucosa 2. Estos agentes innovadores podrían convertirse en una terapia importante en todo el espectro de la enfermedad cardiorrenal. Eur Heart J 14 de agosto de 2022

Interacción entre el efecto placebo y el tratamiento ¿Cómo se suman?  revisión sistemática

18 agosto 2022

La evidencia de aditividad entre el placebo y las características específicas de los tratamientos fue poco frecuente en los estudios incluidos. Sugerimos que las intervenciones para las dolencias sensibles al placebo se prueben en ensayos diseñados para tomar en serio las interacciones una vez que los ensayos clínicos exploratorios hayan demostrado su eficacia con suficiente validez interna. Br J Clin Pharmacol, 5 de abril de 2022, corregido 4 de agosto de 2022

Categorias

Etiquetas