Farmacología

Factores de riesgo y perfil de la enfermedad de la infección por SARS-CoV-2 posterior a la vacunación en usuarios de la aplicación COVID Symptom Study en el Reino Unido

02 septiembre 2021

Algunas personas aún se infectan con el SARS-CoV-2 después de la vacunación; estos datos sugieren que los adultos mayores frágiles y los que viven en áreas más desfavorecidas corren un mayor riesgo. Sin embargo,  en personas vacunadas con 1 o 2 dosis tuvieron probabilidades significativamente más bajas de enfermedad grave, hospitalización o COVID prolongado, que en personas no vacunadas . Lancet Infect Dis, 1 de septiembre de 2021

La reducción intensiva de la tensión arterial resulta especialmente beneficiosa en pacientes con marcadores humorales de riesgo para insuficiencia cardíaca

02 septiembre 2021

En un análisis post-hoc del ensayo SPRINT se encontró que el beneficio absoluto de la prevención de muerte o insuficiencia cardíaca  es mayor en los pacientes con elevación basal de los niveles de troponina o péptido natriurético. De confirmarse este resultado en futuros estudios, se podría enfocar el descenso intensivo de la tensión arterial en aquellos hipertensos con elevación de los marcadores humorales de riesgo. JAMA Cardiology, 1º de septiembre de 2021.Resumen

Efecto de la sustitución de sal sobre eventos cardiovasculares y muerte

01 septiembre 2021

Entre las personas que tenían antecedentes de accidente cerebrovascular o tenían 60 años o más y tenían presión arterial alta, las tasas de accidente cerebrovascular, eventos cardiovasculares importantes y muerte por cualquier causa fueron más bajas con el sustituto de sal que con la sal regular. N Eng J Med August 29, 2021

Uso de corticosteroides inhalados y riesgo de contraer Pseudomonas aeruginosa en pacientes con enfermedad pulmonar obstructiva crónica

01 septiembre 2021

El uso de  corticosteroides inhalados (CI)en pacientes con EPOC seguidos en clínicas ambulatorias danesas se asoció con un riesgo sustancialmente mayor y dependiente de la dosis de contraer P. aeruginosa. Se debe tener precaución al administrar dosis altas de CI en pacientes gravemente enfermos con EPOC. Estos resultados deben confirmarse en cohortes comparables y en otros entornos. Thorax, 26 de agosto de 2021.

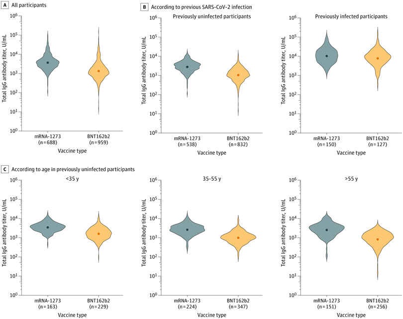
Comparación de la respuesta de anticuerpos del SARS-CoV-2 tras la vacunación con Pfizer-BioNTech y Moderna

01 septiembre 2021

Este estudio encontró una inmunogenicidad humoral significativamente mayor de la vacuna SARS-CoV-2 mRNA-1273 (Moderna) en comparación con la vacuna BNT162b2 (Pfizer-BioNTech), tanto en participantes infectados como no infectados, y en todas las categorías de edad. El mayor contenido de ARNm en ARNm-1273 en comparación con BNT162b2 y el intervalo más largo entre el cebado y el refuerzo para ARNm-1273(3) (4 semanas frente a 3 semanas para BNT162b2) podrían explicar esta diferencia.  JAMA, 30 de Agosto de 2021

Categorias

Etiquetas