Farmacología

Resultados clínicos de una vacuna COVID-19: implementación  más allá de la eficacia

11 diciembre 2020

Nuestros hallazgos demuestran la necesidad urgente de que los funcionarios de salud inviertan más recursos financieros y atención a los programas de producción y distribución de vacunas, redoblen los esfuerzos para promover la confianza pública en las vacunas COVID-19 y fomenten la adherencia continua a otros enfoques de mitigación, incluso después que una vacuna este disponible. Health Affairs, 19 de noviembre de 2020

Tendencia mundial en la prevalencia de ceguera y deficiencia de la visión durante 30 años

11 diciembre 2020

A pesar de una reducción en la prevalencia mundial de ceguera estandarizada por edad, la prevalencia bruta está aumentando, y con una población que envejece y crece, la discapacidad visual sigue siendo una prioridad de salud pública urgente y cada vez más importante. Actualmente estamos investigando las causas de la discapacidad visual y evaluando más directamente los cambios temporales en la pérdida evitable de la visión. Enfrentamos enormes desafíos para evitar la discapacidad visual a medida que la población mundial crece y envejece.  Lancet Glob Health, 1 de diciembre de 2020

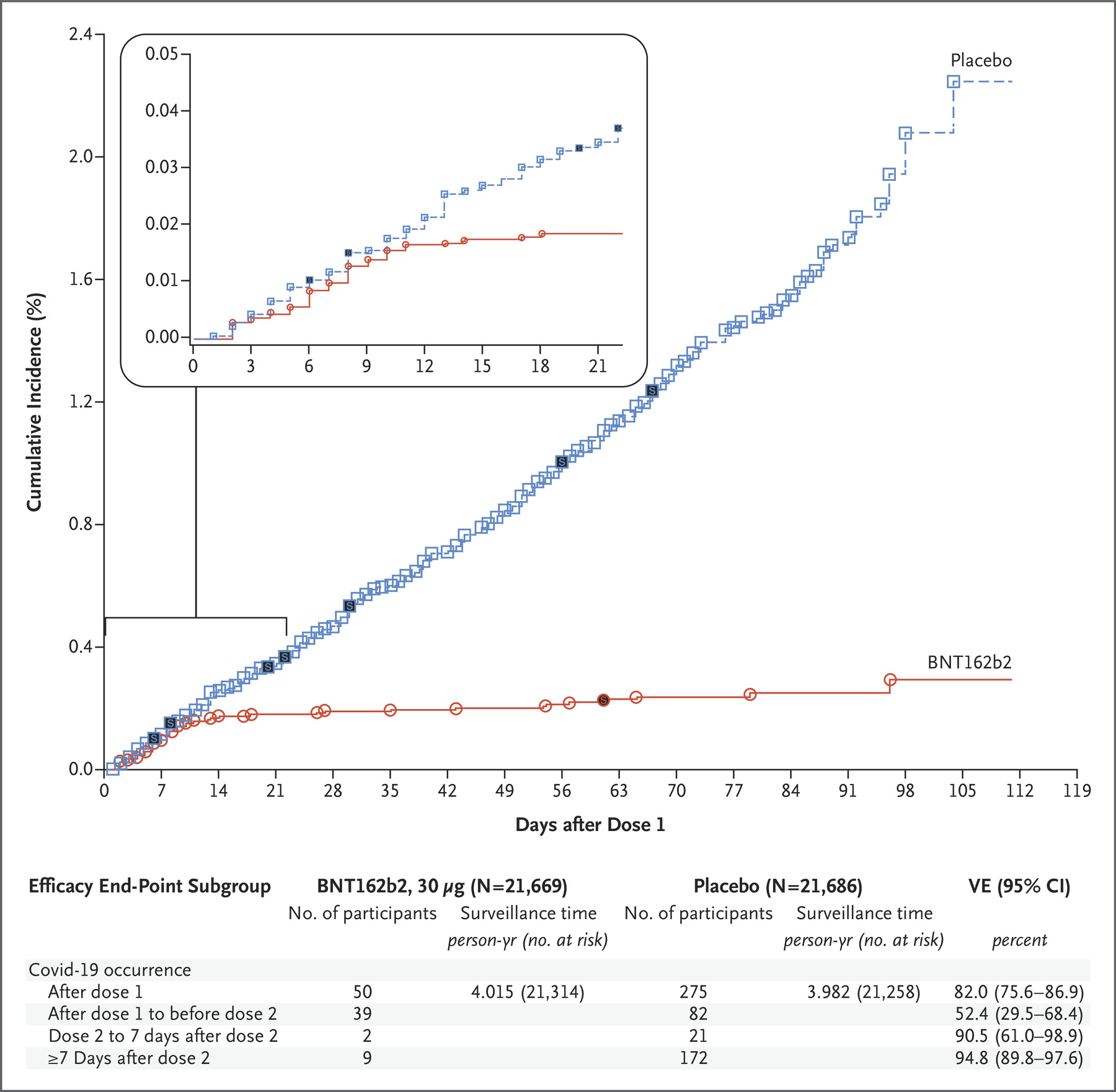
Seguridad y eficacia de la vacuna de ARNm BNT162b2 Covid-19 ( Pfizer/BioNTech)

10 diciembre 2020

Un régimen de dos dosis de BNT162b2 confirió una protección del 95% contra Covid-19 en personas de 16 años o más. La seguridad durante una mediana de 2 meses fue similar a la de otras vacunas virales. N Eng J Med, 10 de diciembre de 2020

Propuesta de retirar del mercado un fármaco aprobado por procedimiento acelerado

10 diciembre 2020

El Centro de Evaluación e Investigación de Medicamentos de la FDA ha recomendado retirar del mercado la inyección de caproato de hidroxiprogesterona utilizada como tratamiento preventivo de la recurrencia de parto prematuro, que fuera aprobada en 2011  por vía rápida en base a desenlaces surrogados, debido a que los resultados postcomercialización no mostraron la eficacia esperada. New England Journal of Medicine, 10 de diciembre de 2020.

Dinámica de la positividad viral y la seroconversión en COVID-19

10 diciembre 2020

La tasa de positividad de la PCR viral alcanzó su punto máximo en los primeros días, prolongándose por una mediana de 24 días en pacientes críticos y 18 días en los no críticos. Las tasas de seroconversión alcanzaron su punto máximo en 4 a 5 semanas. Annals of Internal Medicine, 8 de diciembre de 2020.

Categorias

Etiquetas