Farmacología

Estatinas y síntomas musculares

25 febrero 2021

A 200 personas que habían tenido síntomas asociados a estatinas se las trató durante 1 año combinando al azar períodos de 2 meses con 20 mg / día de atorvastatina y otros de placebo, en forma ciega. No hubo diferencia significativa en las molestias musculares entre estatina y placebo, y la mayoría pudo retomar su medicación. British Medical Journal, 24 de febrero de 2021.

Tratamiento de la hipertensión arterial: nuevas guías

19 febrero 2021

Se han actualizado las guías de tratamiento de la hipertensión arterial (HTA): ACC/AHA (americana), ESC/ESH (europea), NICE (británica) e ISH (internacional); y las recomendaciones de SEMERGEN y de SemFyC (españolas). En general coinciden en las medidas no farmacológicas y los antihipertensivos de elección, pero difieren en la definición y clasificación de la HTA, el cálculo del riesgo cardiovascular (CV), los objetivos de presión arterial (PA) y los criterios para iniciar el tratamiento. BTA, CADIME, 18 de febrero de 2021

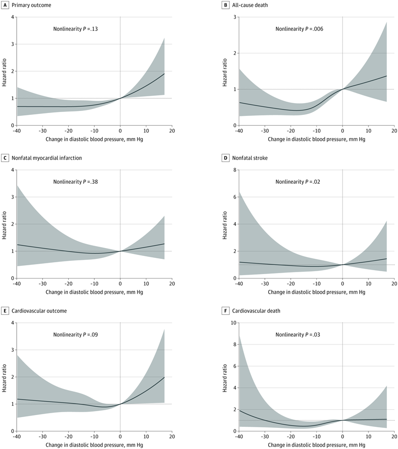
Presión arterial diastólica tratada: ¿Qué tan baja es demasiado baja?

18 febrero 2021

Este estudio de cohorte encontró que la reducción de la presión arterial diastólica a menos de 60 mm Hg se asoció con un mayor riesgo de eventos cardiovasculares en pacientes con alto riesgo cardiovascular y una presión arterial sistólica tratada inferior a 130 mm Hg. El hallazgo de que un valor de presión arterial diastólica entre 70 y 80 mm Hg era un objetivo óptimo para esta población de pacientes merece un estudio adicional.  JAMA Netw Open, 17 de febrero de 2021

Asociación entre tratamiento antihipertensivo y eventos adversos

17 febrero 2021

Este metanálisis no encontró evidencia que sugiera que el tratamiento antihipertensivo esté asociado con caídas, pero encontró evidencia de una asociación con eventos adversos leves (hiperpotasemia, hipotensión) y severos (lesión renal aguda, síncope). Estos datos podrían usarse para informar la toma de decisiones compartida entre médicos y pacientes sobre el inicio y la continuación del tratamiento antihipertensivo, especialmente en pacientes con alto riesgo de daño debido a eventos adversos previos o función renal deficiente. BMJ, 10 de febrero de 2021

Evolución de la prediabetes en los adultos mayores

10 febrero 2021

En este estudio de cohorte basado en la comunidad, la prevalencia de prediabetes en los  adultos mayores fue alta; sin embargo, durante el período de estudio, la regresión a normoglucemia o la muerte fue más frecuente que la progresión a diabetes. JAMA Internal Medicine, 8 de febrero de 2021.

Categorias

Etiquetas