Farmacología

Eventos farmacológicos adversos relacionados con la dosis en recién nacidos: reconocimiento y evaluación

30 junio 2021

Esta revisión se centrará en los eventos adversos relacionados con la dosis en los recién nacidos. Además de la clasificación reglamentaria de gravedad, la evaluación de eventos adversos incluye aspectos relacionados con la detección de señales, la causalidad y la gravedad. Desenredar los factores de confusión de los eventos farmacológicos adversos realmente relacionados con la dosis sigue siendo un desafío importante, como se ilustra para la insuficiencia renal inducida por medicamentos, la lesión hepática inducida por medicamentos y el resultado del desarrollo neurológico. J Clin Pharmacol. Junio 2021

Miocarditis después de la inmunización con vacunas de ARNm COVID-19 (Pfizer-BioNTech ó Moderna) en EE. UU.

30 junio 2021

Dos informes en la edición actual de JAMA Cardiology describen casos de miocarditis aguda que ocurrieron entre personas que recibieron las vacunas COVID-19 basadas en ARNm BNT162b2 (Pfizer-BioNTech) o ARNm-1273 (Moderna) basadas en ARN mensajero (ARNm). en los EE. UU. Durante las evaluaciones clínicas de estos pacientes, no se detectaron etiologías alternativas para la miocarditis.  AMA Cardiol. 29 de junio de 2021.

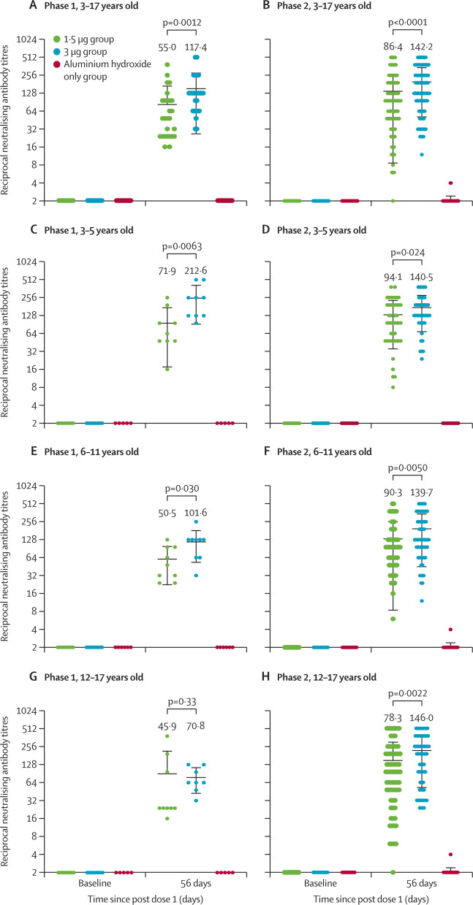
Seguridad, tolerabilidad e inmunogenicidad de la vacuna inactivada contra el SARS-CoV-2 (CoronaVac) en niños y adolescentes

30 junio 2021

CoronaVac es bien tolerada y segura e induce respuestas humorales en niños y adolescentes de 3 a 17 años. Los títulos de anticuerpos neutralizantes inducidos por la dosis de 3,0 µg fueron más altos que los de la dosis de 1,5 µg. Los resultados apoyan el uso de una dosis de 3,0 μg con un calendario de dos inmunizaciones para estudios adicionales en niños y adolescentes. Lancet Infect Dis. 28 de junio de 2021

Efectividad comparativa de los inhibidores de SGLT2 y de las sulfonilureas en diabetes tipo 2

29 junio 2021

En este estudio observacional de pacientes con diabetes tipo 2 tratados con metformina, el agregado de inhibidores de SGLT2 se asoció con un riesgo reducido de mortalidad por todas las causas en comparación con la adición de sulfonilureas. JAMA Internal Medicine, 28 de junio de 2021.

Reducción de la esperanza de vida en EEUU en el primer año de la pandemia

29 junio 2021

Entre 2018 y 2020 la esperanza de vida en los EE. UU. se redujo en casi dos años, ampliando la brecha con otros países desarrollados a  4,7 años. La reducción afectó en manera desproporcionada a las minorías raciales y étnicas, disminuyendo en 3.9, 3.3 y 1.4 años en las poblaciones hispanas, negras no hispanas y blancas no hispanas, respectivamente. British Medical Journal, 24 de junio de 2021.

Categorias

Etiquetas