Farmacología

Riesgo de COVID-19 en el hogar y escolarización presencial

30 abril 2021

Si bien la educación presencial está asociada con el riesgo de COVID-19 en el hogar, es probable que este riesgo se pueda controlar con medidas de mitigación basadas en la escuela que se implementen adecuadamente. Una asociación positiva entre la educación presencial y los resultados de COVID-19 persiste en niveles bajos de mitigación, pero cuando se informan siete o más medidas de mitigación, ya no se observa una relación significativa. Science 29 de abril de 2021

Cobertura de la vacuna COVID-19 en trabajadores de la salud en Inglaterra y efectividad de la vacuna de ARNm BNT162b2 contra la infección (SIREN): un estudio de cohorte prospectivo, multicéntrico

26 abril 2021

la vacuna BNT162b2 puede prevenir la infección sintomática y asintomática en adultos en edad laboral. Esta cohorte fue vacunada cuando la variante dominante en circulación era B1.1.7 y muestra efectividad contra esta variante. Lancet, 23 de abril de 2021

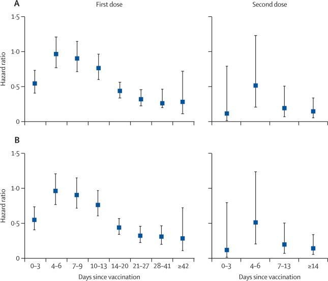
Hallazgos provisionales de la implementación de la vacunación masiva de COVID-19 de primera dosis y las admisiones hospitalarias de COVID-19 en Escocia: estudio de cohorte prospectivo nacional

26 abril 2021

La implementacion masiva de las primeras dosis de las vacunas de ARNm BNT162b2 y ChAdOx1 se asoció con reducciones sustanciales en el riesgo de ingreso hospitalario por COVID-19 a los 28 a 34 días  [BNT162b2: 91% (IC95: 85–94) ChAdOx1 : 88% (IC95:75–94)] en Escocia. Existe la posibilidad de que algunos de los efectos observados se hayan debido a un factor de confusión residual. Lancet, 23 de abril de 2021

Retrasar la segunda dosis de las vacunas COVID-19 puede ser una estrategia de salud pública eficaz

23 abril 2021

Para comparar el impacto epidemiológico de cada estrategia de vacunación, los investigadores construyeron un modelo matemático que simulaba tanto la transmisión de COVID-19 como varios programas de vacunación de segunda dosis diferidos. Los autores encontraron que retrasar la segunda dosis de 9 a 15 semanas después de la primera dosis evitaba más hospitalizaciones, infecciones y muertes en comparación con seguir los esquemas recomendados para las vacunas Moderna y Pfizer-BioNTech. PLoS Biol , 21 de abril de 2021

Categorias

Etiquetas