Farmacología

Intervenciones para apoyar la resiliencia y la salud mental de los profesionales sanitarios y de la asistencia social de primera línea durante y después de un brote de una enfermedad, una epidemia o una pandemia: una revisión sistemática de métodos mixtos

11 diciembre 2020

Falta evidencia cuantitativa y cualitativa proveniente de estudios realizados durante o después de epidemias y pandemias de enfermedades que puedan informar la selección de intervenciones que sean beneficiosas para la resiliencia y la salud mental del personal de primera línea. Cuando se seleccionan intervenciones destinadas a apoyar la salud mental de los trabajadores de primera línea, los factores organizativos, sociales, personales y psicológicos pueden ser importantes. Los estudios de investigación para determinar la eficacia de las intervenciones son de suma prioridad. La pandemia de covid‐19 ofrece oportunidades únicas para una evaluación sólida de las intervenciones. Cochrane Database Syst Rev,  Noviembre de 2020

Resultados clínicos de una vacuna COVID-19: implementación  más allá de la eficacia

11 diciembre 2020

Nuestros hallazgos demuestran la necesidad urgente de que los funcionarios de salud inviertan más recursos financieros y atención a los programas de producción y distribución de vacunas, redoblen los esfuerzos para promover la confianza pública en las vacunas COVID-19 y fomenten la adherencia continua a otros enfoques de mitigación, incluso después que una vacuna este disponible. Health Affairs, 19 de noviembre de 2020

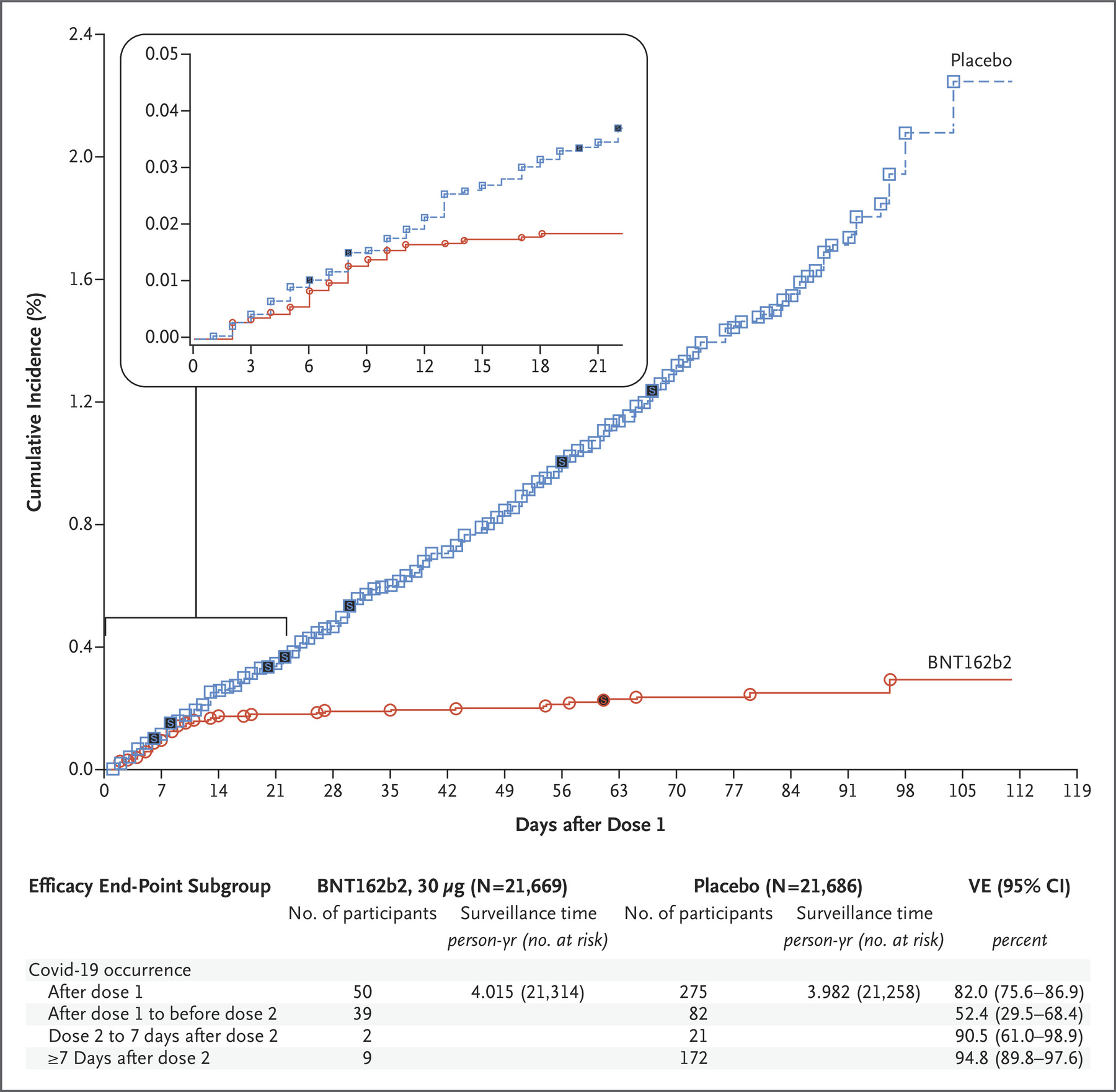
Seguridad y eficacia de la vacuna de ARNm BNT162b2 Covid-19 ( Pfizer/BioNTech)

10 diciembre 2020

Un régimen de dos dosis de BNT162b2 confirió una protección del 95% contra Covid-19 en personas de 16 años o más. La seguridad durante una mediana de 2 meses fue similar a la de otras vacunas virales. N Eng J Med, 10 de diciembre de 2020

Dinámica de la positividad viral y la seroconversión en COVID-19

10 diciembre 2020

La tasa de positividad de la PCR viral alcanzó su punto máximo en los primeros días, prolongándose por una mediana de 24 días en pacientes críticos y 18 días en los no críticos. Las tasas de seroconversión alcanzaron su punto máximo en 4 a 5 semanas. Annals of Internal Medicine, 8 de diciembre de 2020.

Seguridad y eficacia de la vacuna ChAdOx1 nCoV-19 (Oxford) contra el SARS-CoV-2, análisis intermedio de 4 ECAs en Brasil, Sudáfrica y el Reino Unido

09 diciembre 2020

La vacuna ChAdOx1 nCoV-19 tiene un perfil de seguridad aceptable y se ha encontrado que es eficaz contra COVID-19 sintomático en este análisis intermedio de ensayos clínicos en curso. Lancet, 8 de diciembre de 2020

Categorias

Etiquetas