Farmacología

Eficacia de las medidas de salud pública en la pandemia de COVID-19

27 octubre 2020

Las medidas individuales, como el cierre de escuelas, de lugares de trabajo, la prohibición de eventos públicos, la prohibición de reuniones de más de diez personas, los requerimientos de para quedarse en casa y limitar los movimientos internos, se asocian a una transmisión reducida del SARS-CoV-2, pero el efecto de la introducción y el levantamiento de estas intervenciones se retrasa entre 1 y 3 semanas. The Lancet Infectious Diseases, 22 de octubre de 2020.

Dolutegravir : asesoramiento actualizado sobre un mayor riesgo de defectos del tubo neural

27 octubre 2020

Se han publicado recomendaciones de seguridad actualizadas como parte de la revisión europea que evalúa los casos de defectos del tubo neural en bebés nacidos de madres que quedaron embarazadas mientras tomaban el medicamento contra el VIH dolutegravir. La evidencia recopilada a medida que más mujeres han dado a luz durante el tratamiento con dolutegravir muestra un aumento del riesgo menor de lo que se pensaba anteriormente, casi comparable a otros medicamentos contra el VIH. Las restricciones anteriores contra el uso durante el embarazo ya no existen: informe a las mujeres sobre el riesgo potencial de defectos del tubo neural con dolutegravir y analice los beneficios y riesgos de continuar el tratamiento si una mujer planea quedarse embarazada.Drug Safety Update, MHRA, 22 octubre 2020

Asociación de terapias con reducción del dolor y mejor calidad de vida en pacientes con fibromialgia

27 octubre 2020

Esta revisión sistemática y metanálisis sugiere que la mayoría de las terapias actualmente disponibles para el manejo de la fibromialgia no están respaldadas por evidencia de alta calidad. Algunas terapias pueden reducir el dolor y mejorar la calidad de vida a corto y medio plazo, aunque el tamaño del efecto de las asociaciones puede no ser clínicamente importante para los pacientes. JAMA Intern Med,  26 de octubre de 2020.

Corrección de la hiponatremia grave: infusión lenta vs bolos de solución salina hipertónica

27 octubre 2020

Ambos modos de administración resultaron efectivos y seguros, sin diferencia en el riesgo de sobrecorrección. Los bolos rápidos fueron más eficaces para la corrección inicial y tuvieron menos necesidad de tratamiento ulterior de reducción de la natremia. JAMA Internal Medicine, 26 de octubre de 2020.

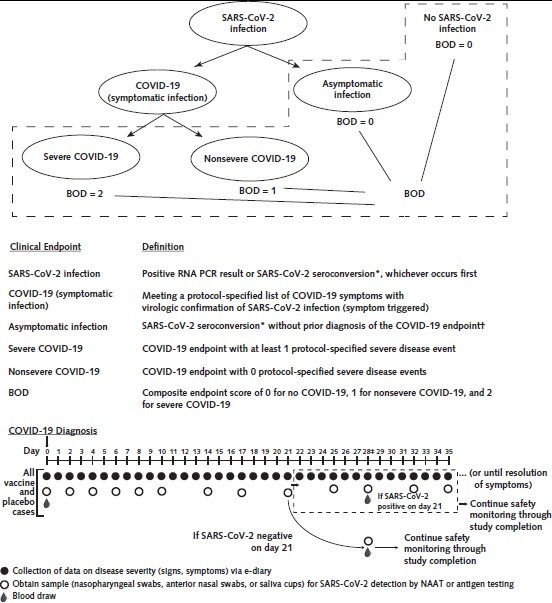
Criterios de desenlace clínicos para evaluar la eficacia en los ensayos de la vacuna COVID-19

26 octubre 2020

Para facilitar la evaluación armonizada y la comparación de la eficacia de estas vacunas, se propone un conjunto general de criterios de valoración clínicos, junto con consideraciones para orientar la selección de los criterios de valoración primarios sobre la base del razonamiento clínico y estadístico. S Ann Intern Med, 22 de octubre de 2020

Categorias

Etiquetas