Farmacología

¿Qué es la Atención Primaria de Salud?

08 marzo 2021

Los valores nucleares de la APS son: longitudinalidad, accesibilidad, integralidad y visión generalista, coordinación y continuidad asistencial, orientación al paciente, empoderamiento de pacientes, familias y comunidades, y abordaje de los determinantes en salud. La priorización de unos atributos respecto a otros es reflejo de la concepción que de la APS se tiene y de lo que se le exige.AMF , marzo 2021

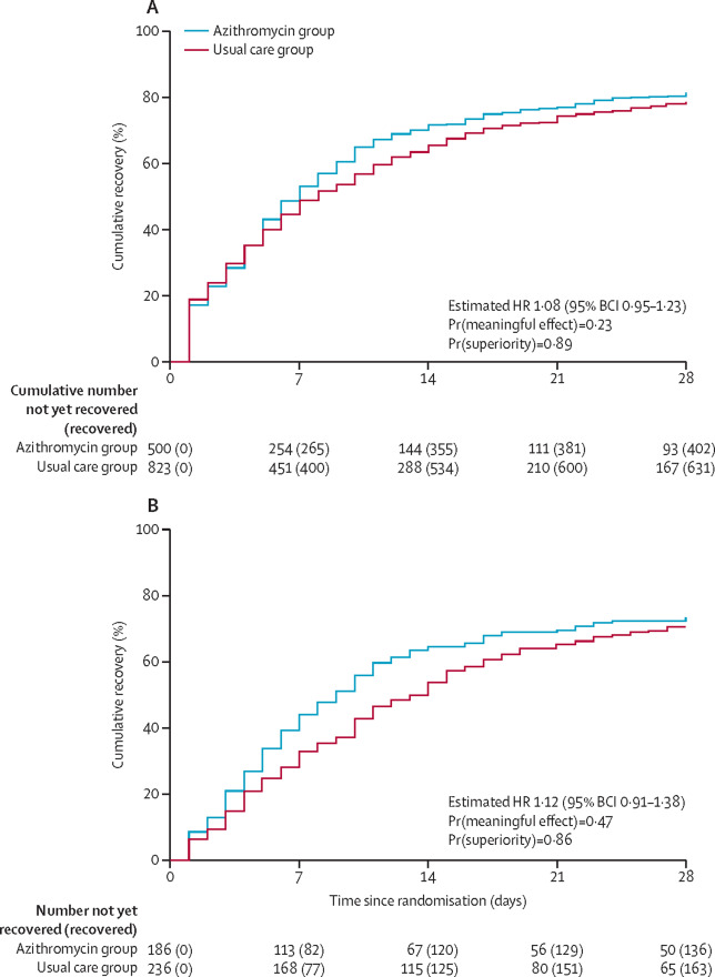
Azitromicina para tratamiento comunitario de COVID-19 en personas con riesgo de complicaciones

08 marzo 2021

Estos hallazgos no justifican el uso rutinario de azitromicina para reducir el tiempo de recuperación o el riesgo de hospitalización de personas con sospecha de COVID-19 en la comunidad. Estos hallazgos tienen importantes implicaciones en la administración de antibióticos durante esta pandemia, ya que el uso inadecuado de antibióticos conduce a una mayor resistencia a los antimicrobianos, y hay evidencia del aumento del uso de azitromicina durante la pandemia en el Reino Unido. Lancet, 4 de marzo de 2021

Reducción de la cobertura social para los fármacos antiartrósicos sintomáticos de acción lenta: una iniciativa de desinversión en Argentina, 2015-2017

08 marzo 2021

Luego de la medida, descendieron un 61,6% los envases de SySADOA dispensados y un 63,4% el monto total del precio de venta al público, medido en valores constantes. La dispensa no se reorientó hacia los AINE, que descendieron un 6,1%. Disminuyó tanto la incidencia de nuevos tratamientos (de 6,4 a 3,3 tratamientos por 1.000 beneficiarios por mes) como su continuidad. Salud Colectiva, 6 de marzo de 2021

Evitar la explotación en ensayos multinacionales de la vacuna covid-19

05 marzo 2021

Los países de ingresos bajos y medianos deben beneficiarse, no solo participar. los ensayos de vacunas covid-19 multinacionales en curso y futuros pueden tener que depender de participantes de países de ingresos bajos y medianos (PIBM), donde el acceso a las vacunas sigue siendo limitado. Es fundamental garantizar que los ensayos no exploten a estas personas y países.BMJ , 4 de marzo de 2021

Acceso de pacientes adultos a la historia clínica electrónica

05 marzo 2021

Los efectos del acceso a la HCE con prestaciones adicionales en comparación con la atención habitual en su mayor parte no están claros. Solo la adherencia al proceso de seguimiento de los factores de riesgo y la prestación de servicios preventivos, así como la puntuación compuesta de los factores de riesgo de la diabetes mellitus, podrían mejorar ligeramente con el acceso a la HCE con prestaciones adicionales. Debido a la inconsistencia de la terminología en esta área, la búsqueda para esta revisión podría haber pasado por alto estudios relevantes. Cochrane Database of Systematic Reviews,  26 de febrero de 2021

Categorias

Etiquetas